Online Database of Chemicals from Around the World

1-[19-Amino-7,10-Bis(2-Amino-2-Oxoethyl)-13-Butan-2-Yl-16-[(4-Hydroxyphenyl)Methyl]-6,9,12,15,18-Pentaoxo-1,2-Dithia-5,8,11,14,17-Pentazacycloicosane-4-Carbonyl]-N-[1-[(2-Amino-2-Oxoethyl)Amino]-3-Methyl-1-Oxobutan-2-Yl]Pyrrolidine-2-Carboxamide
[CAS# 144334-52-1]

Identification
Name 1-[19-Amino-7,10-Bis(2-Amino-2-Oxoethyl)-13-Butan-2-Yl-16-[(4-Hydroxyphenyl)Methyl]-6,9,12,15,18-Pentaoxo-1,2-Dithia-5,8,11,14,17-Pentazacycloicosane-4-Carbonyl]-N-[1-[(2-Amino-2-Oxoethyl)Amino]-3-Methyl-1-Oxobutan-2-Yl]Pyrrolidine-2-Carboxamide
Synonyms 1-[19-Amino-7,10-Bis(2-Amino-2-Oxo-Ethyl)-16-[(4-Hydroxyphenyl)Methyl]-6,9,12,15,18-Pentaoxo-13-Sec-Butyl-1,2-Dithia-5,8,11,14,17-Pentazacycloicosane-4-Carbonyl]-N-[1-[(2-Amino-2-Oxo-Ethyl)Carbamoyl]-2-Methyl-Propyl]Pyrrolidine-2-Carboxamide; 1-[[19-Amino-7,10-Bis(2-Amino-2-Oxoethyl)-16-[(4-Hydroxyphenyl)Methyl]-6,9,12,15,18-Pentaoxo-13-Sec-Butyl-1,2-Dithia-5,8,11,14,17-Pentazacycloicos-4-Yl]-Oxomethyl]-N-[1-[[(2-Amino-2-Oxoethyl)Amino]-Oxomethyl]-2-Methylpropyl]-2-Pyrrolidinecarboxamide; 1-[19-Amino-7,10-Bis(2-Amino-2-Keto-Ethyl)-16-(4-Hydroxybenzyl)-6,9,12,15,18-Pentaketo-13-Sec-Butyl-1,2-Dithia-5,8,11,14,17-Pentazacycloicosane-4-Carbonyl]-N-[1-[(2-Amino-2-Keto-Ethyl)Carbamoyl]-2-Methyl-Propyl]Pyrrolidine-2-Carboxamide
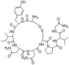
Molecular Structure CAS#: 144334-52-1, 1-[19-Amino-7,10-Bis(2-Amino-2-Oxoethyl)-13-Butan-2-Yl-16-[(4-Hydroxyphenyl)Methyl]-6,9,12,15,18-Pentaoxo-1,2-Dithia-5,8,11,14,17-Pentazacycloicosane-4-Carbonyl]-N-[1-[(2-Amino-2-Oxoethyl)Amino]-3-Methyl-1-Oxobutan-2-Yl]Pyrrolidine-2-Carboxamide
Molecular Formula C41H62N12O12S2
Molecular Weight 979.13
CAS Registry Number 144334-52-1
SMILES C3=C(CC1NC(=O)C(N)CSSCC(NC(=O)C(NC(=O)C(NC(=O)C(NC1=O)C(CC)C)CC(=O)N)CC(=O)N)C(=O)N2C(C(=O)NC(C(=O)NCC(=O)N)C(C)C)CCC2)C=CC(=C3)O
InChI 1S/C41H62N12O12S2/c1-5-20(4)33-40(64)49-26(15-30(44)56)35(59)48-25(14-29(43)55)36(60)50-27(41(65)53-12-6-7-28(53)38(62)51-32(19(2)3)39(63)46-16-31(45)57)18-67-66-17-23(42)34(58)47-24(37(61)52-33)13-21-8-10-22(54)11-9-21/h8-11,19-20,23-28,32-33,54H,5-7,12-18,42H2,1-4H3,(H2,43,55)(H2,44,56)(H2,45,57)(H,46,63)(H,47,58)(H,48,59)(H,49,64)(H,50,60)(H,51,62)(H,52,61)
InChIKey GUXCJKRYHLCHKV-UHFFFAOYSA-N
Properties
Density 1.289g/cm3 (Cal.)
Boiling point 1543.636°C at 760 mmHg (Cal.)
Flash point 887.359°C (Cal.)
Market Analysis Reports
List of Reports Available for 1-[19-Amino-7,10-Bis(2-Amino-2-Oxoethyl)-13-Butan-2-Yl-16-[(4-Hydroxyphenyl)Methyl]-6,9,12,15,18-Pentaoxo-1,2-Dithia-5,8,11,14,17-Pentazacycloicosane-4-Carbonyl]-N-[1-[(2-Amino-2-Oxoethyl)Amino]-3-Methyl-1-Oxobutan-2-Yl]Pyrrolidine-2-Carboxamide
Related Products
1-[19-Amino-7,10-Bis(2-Amino-2-Oxoethyl)...  3-Fluoropropane-1-Sulfonate  2,2'-[[[4-(Aminocarbonyl)phenyl]arsinide...  Ferric Ferricyanide  3,3-Bis{[(Dimethylamino)Carbonothioyl]Th...  Bis(2,4-Dimethylpyridinio)Dichlorocuprat...  3,9-Bis(Phenoxy)-2,4,8,10-Tetraoxa-3,9-D...  N-(1-Phenethyl-4-Piperidyl)Propionanilid...  [(3S,6S,8R,9S,10R,13S,14S,17R)-17-Acetyl...  6-Amino-2,4(3H,5H)-Pyrimidinedione  6alpha-Deoxy-6alpha-(4-((Hexahydro-5-(2-...  Methyl Tosylcarbamate  N,5-Dimethyl-2-[4-Methyl-2-[4-Methyl-2-[...  [(1R,2S,3S,4S,5R,6S)-5-Fluoro-2,4-Dihydr...  Chlorfenprop-Methyl