Online Database of Chemicals from Around the World

1-[19-Amino-7,10-Bis(2-Amino-2-Oxoethyl)-16-[(4-Hydroxyphenyl)Methyl]-6,9,12,15,18-Pentaoxo-13-(Phenylmethyl)1,2-Dithia-5,8,11,14,17-Pentazacycloicosane-4-Carbonyl]-N-[1-[(2-Amino-2-Oxoethyl)Amino]-3-Methyl-1-Oxobutan-2-Yl]Pyrrolidine-2-Carboxamide
[CAS# 144334-53-2]

Identification
Name 1-[19-Amino-7,10-Bis(2-Amino-2-Oxoethyl)-16-[(4-Hydroxyphenyl)Methyl]-6,9,12,15,18-Pentaoxo-13-(Phenylmethyl)1,2-Dithia-5,8,11,14,17-Pentazacycloicosane-4-Carbonyl]-N-[1-[(2-Amino-2-Oxoethyl)Amino]-3-Methyl-1-Oxobutan-2-Yl]Pyrrolidine-2-Carboxamide
Synonyms 1-[19-Amino-7,10-Bis(2-Amino-2-Oxo-Ethyl)-16-[(4-Hydroxyphenyl)Methyl]-6,9,12,15,18-Pentaoxo-13-(Phenylmethyl)1,2-Dithia-5,8,11,14,17-Pentazacycloicosane-4-Carbonyl]-N-[1-[(2-Amino-2-Oxo-Ethyl)Carbamoyl]-2-Methyl-Propyl]Pyrrolidine-2-Carboxamide; 1-[[19-Amino-7,10-Bis(2-Amino-2-Oxoethyl)-16-[(4-Hydroxyphenyl)Methyl]-6,9,12,15,18-Pentaoxo-13-(Phenylmethyl)-1,2-Dithia-5,8,11,14,17-Pentazacycloicos-4-Yl]-Oxomethyl]-N-[1-[[(2-Amino-2-Oxoethyl)Amino]-Oxomethyl]-2-Methylpropyl]-2-Pyrrolidinecarboxamide; 1-[19-Amino-7,10-Bis(2-Amino-2-Keto-Ethyl)-13-(Benzyl)-16-(4-Hydroxybenzyl)-6,9,12,15,18-Pentaketo-1,2-Dithia-5,8,11,14,17-Pentazacycloicosane-4-Carbonyl]-N-[1-[(2-Amino-2-Keto-Ethyl)Carbamoyl]-2-Methyl-Propyl]Pyrrolidine-2-Carboxamide
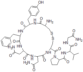
Molecular Structure CAS#: 144334-53-2, 1-[19-Amino-7,10-Bis(2-Amino-2-Oxoethyl)-16-[(4-Hydroxyphenyl)Methyl]-6,9,12,15,18-Pentaoxo-13-(Phenylmethyl)1,2-Dithia-5,8,11,14,17-Pentazacycloicosane-4-Carbonyl]-N-[1-[(2-Amino-2-Oxoethyl)Amino]-3-Methyl-1-Oxobutan-2-Yl]Pyrrolidine-2-Carboxamide
Molecular Formula C44H60N12O12S2
Molecular Weight 1013.15
CAS Registry Number 144334-53-2
SMILES C4=C(CC1NC(=O)C(N)CSSCC(NC(=O)C(NC(=O)C(NC(=O)C(NC1=O)CC2=CC=CC=C2)CC(=O)N)CC(=O)N)C(=O)N3C(C(=O)NC(C(=O)NCC(=O)N)C(C)C)CCC3)C=CC(=C4)O
InChI 1S/C44H60N12O12S2/c1-22(2)36(43(67)49-19-35(48)60)55-42(66)32-9-6-14-56(32)44(68)31-21-70-69-20-26(45)37(61)50-27(16-24-10-12-25(57)13-11-24)38(62)51-28(15-23-7-4-3-5-8-23)39(63)52-29(17-33(46)58)40(64)53-30(18-34(47)59)41(65)54-31/h3-5,7-8,10-13,22,26-32,36,57H,6,9,14-21,45H2,1-2H3,(H2,46,58)(H2,47,59)(H2,48,60)(H,49,67)(H,50,61)(H,51,62)(H,52,63)(H,53,64)(H,54,65)(H,55,66)
InChIKey DAHCMEORVXDYEP-UHFFFAOYSA-N
Properties
Density 1.317g/cm3 (Cal.)
Boiling point 1583.764°C at 760 mmHg (Cal.)
Flash point 911.627°C (Cal.)
Market Analysis Reports
List of Reports Available for 1-[19-Amino-7,10-Bis(2-Amino-2-Oxoethyl)-16-[(4-Hydroxyphenyl)Methyl]-6,9,12,15,18-Pentaoxo-13-(Phenylmethyl)1,2-Dithia-5,8,11,14,17-Pentazacycloicosane-4-Carbonyl]-N-[1-[(2-Amino-2-Oxoethyl)Amino]-3-Methyl-1-Oxobutan-2-Yl]Pyrrolidine-2-Carboxamide
Related Products
3-Fluoropropane-1-Sulfonate  2,2'-[[[4-(Aminocarbonyl)phenyl]arsinide...  Ferric Ferricyanide  3,3-Bis{[(Dimethylamino)Carbonothioyl]Th...  Bis(2,4-Dimethylpyridinio)Dichlorocuprat...  3,9-Bis(Phenoxy)-2,4,8,10-Tetraoxa-3,9-D...  N-(1-Phenethyl-4-Piperidyl)Propionanilid...  [(3S,6S,8R,9S,10R,13S,14S,17R)-17-Acetyl...  6-Amino-2,4(3H,5H)-Pyrimidinedione  6alpha-Deoxy-6alpha-(4-((Hexahydro-5-(2-...  Methyl Tosylcarbamate  N,5-Dimethyl-2-[4-Methyl-2-[4-Methyl-2-[...  [(1R,2S,3S,4S,5R,6S)-5-Fluoro-2,4-Dihydr...  Chlorfenprop-Methyl  3-Iodo-N-(3,4-Diiodophenyl)-2-Hydroxyben...