Online Database of Chemicals from Around the World

三(mu-氯)双[(R)-(+)-2,2'-双(二对甲苯基膦)-1,1'-联萘]二氯化二钌
[CAS# 944451-10-9]

基本信息
英文名 Dimethylammonium dichlorotri(mu-chloro)bis[(R)-(+)-2,2'-bis(di-p-tolylphosphino)-1,1'-binaphthyl]diruthenate(II)
产品名称 三(mu-氯)双[(R)-(+)-2,2'-双(二对甲苯基膦)-1,1'-联萘]二氯化二钌
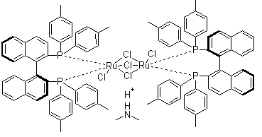
分子结构 CAS 登录号:944451-10-9, 三(mu-氯)双[(R)-(+)-2,2'-双(二对甲苯基膦)-1,1'-联萘]二氯化二钌
分子式 C104H96Cl5P4Ru2.C2H7N.H
分子量 1895.27
CAS 登录号 944451-10-9
EC 号码 693-337-3
安全数据
危害分类
up    说明
危害分类类别码危害标签
眼刺激Eye Irrit.2H319
特定目标器官毒性—单次接触STOT SE3H335
SDS 化学品安全技术说明书参考文本
市场分析报告
请浏览三(mu-氯)双[(R)-(+)-2,2'-双(二对甲苯基膦)-1,1'-联萘]二氯化二钌市场分析报告总目录
相关产品
5-二甲基氨基尿苷  二((2H3)甲基)铵氯化物  三(mu-氯)双[(S)-(-)-5,5'-双(二苯基膦)-4,4'-联-1,3-苯并二恶茂]二氯化二钌二甲基铵盐  三(mu-氯)双[(R)-(+)-5,5'-双(二苯基膦)-4,4'-双-1,3-苯并二恶茂]二氯化二钌二甲基铵盐  三(mu-氯)双[(S)-(-)-2,2'-双(二苯基膦)-1,1'-联萘]二氯化二钌二甲基铵盐  三(mu-氯)双[(R)-(+)-2,2'-双(二苯基膦)-1,1'-联萘]二氯化二钌二甲基铵盐  三(mu-氯)双[(R)-(+)-2,2'-双(二苯基膦)-5,5',6,6',7,7',8,8'-八氢-1,1'-联萘]二氯化二钌二甲基铵盐  双[(S)-(-)-2,2'-双(二苯基膦)-5,5',6,6',7,7',8,8'-八氢-1,1'-联萘基]五氯化二钌 二甲基铵盐  三(mu-氯)双[(S)-(-)-2,2'-双(二对甲苯基膦)-1,1'-联萘]二氯化二钌二甲基铵盐  三(mu-氯)双[(R)-(+)-2,2'-双[二(3,5-二甲基苯基)膦]-1,1'-联萘]二氯化二钌二甲基铵盐  二甲基碘化铵  N-(1,4-二甲基戊基)-N'-苯基对苯二胺  2,6-二甲基苯胺  N,N-二甲基苯胺  N,2-二甲基苯胺  2,4-二甲基苯胺  3,4-二甲基苯胺  2,3-二甲基苯胺  2,5-二甲基苯胺