Online Database of Chemicals from Around the World

Imipenem-Cilastatin sodium hydrate
[CAS# 92309-29-0]

List of Suppliers
Choriway International Trade Co., Ltd. China Inquire  
+86 (510) 8260-6408
sales@choriway.com
Chemical distributor
chemBlink standard supplier since 2007
Simagchem Corporation China Inquire  
+86 13806087780
sale@simagchem.com
Chemical manufacturer since 2002
chemBlink standard supplier since 2008
Hangzhou Neway Chemicals Co., Ltd. China Inquire  
+86 (571) 8509-5566
sales@nwchemical.com
Chemical manufacturer
chemBlink standard supplier since 2011
Complete supplier list of Imipenem-Cilastatin sodium hydrate
Identification
Classification API >> Antibiotics >> Beta-lactamase inhibitor
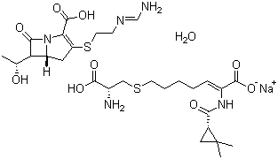
Name Imipenem-Cilastatin sodium hydrate
Synonyms Sodium (Z)-7-[(2R)-2-amino-3-hydroxy-3-oxopropyl]sulfanyl-2-[[(1S)-2,2-dimethylcyclopropanecarbonyl]amino]hept-2-enoate (5R,6S)-3-[2-(aminomethylideneamino)ethylsulfanyl]-6-(1-hydroxyethyl)-7-oxo-1-azabicyclo[3.2.0]hept-2-ene-2-carboxylic acid hydrate
Molecular Structure CAS # 92309-29-0, Imipenem-Cilastatin sodium hydrate, Sodium (Z)-7-[(2R)-2-amino-3-hydroxy-3-oxopropyl]sulfanyl-2-[[(1S)-2,2-dimethylcyclopropanecarbonyl]amino]hept-2-enoate (5R,6S)-3-[2-(aminomethylideneamino)ethylsulfanyl]-6-(1-hydroxyethyl)-7-oxo-1-azabicyclo[3.2.0]hept-2-ene-2-carboxylic acid hydrate
Molecular Formula C12H17N3O4S.C16H25N2NaO5S.H2O
Molecular Weight 697.80
CAS Registry Number 92309-29-0
Market Analysis Reports
List of Reports Available for Imipenem-Cilastatin sodium hydrate
Related Products
(2R,4R)-1-[(2S)-5-[[Imino(nitroamino)methyl]amino]-2-[[(3-methyl-8-quinolinyl)sulfonyl]amino]-1-oxopentyl]-4-methyl-2-piperidinecarboxylic acid  (2R,4R)-1-[(2S)-5-[[Imino(nitroamino)methyl]amino]-2-[[(3-methyl-8-quinolinyl)sulfonyl]amino]-1-oxopentyl]-4-methyl-2-piperidinecarboxylic acid ethyl ester  N-[[2-[[[4-[Imino[[(pentyloxy)carbonyl]amino]methyl]phenyl]amino]methyl]-1-methyl-1H-benzimidazol-5-yl]carbonyl]-N-2-pyridinyl-beta-alanine ethyl ester  N-[Imino(phosphonoamino)methyl]-N-methylglycine disodium salt tetrahydrate  6-[(2-Imino-1-pyrrolidinyl)methyl]-2,4(1H,3H)-pyrimidinedione  Iminostilbene  2-Iminothiolane hydrochloride  Iminotris(dimethylamino)phosphorane  Imipenem  Imipenem  Imipenem EP Impurity A  Imipramine  Imipramine-d3  Imipramine hydrochloride  Imipramine pamoate  Imidocarb dipropionate  Imidodicarbonic-15N acid bis(1,1-dimethylethyl) ester  Imidurea  Imiglucerase  Iminobiotin