Online Database of Chemicals from Around the World

Lipid A 406
[CAS# 91841-27-9]

List of Suppliers
Carbosynth China Ltd. China Inquire  
+86 (512) 6260-5585
sales@carbosynth.com
QQ chat
Chemical manufacturer since 2006
chemBlink standard supplier since 2016
Complete supplier list of Lipid A 406
Identification
Name Lipid A 406
Synonyms 2-Deoxy-6-O-[2-deoxy-3-O-[(3R)-3-hydroxy-1-oxotetradecyl]-2-[[(3R)-3-hydroxy-1-oxotetradecyl]amino]-4-O-phosphono-beta-D-glucopyranosyl]-2-[[(3R)-3-hydroxy-1-oxotetradecyl]amino]-alpha-D-glucopyranose 1-(dihydrogen phosphate) 3-[(3R)-3-hydroxytetradecanoate]; Compound 406; Glycophospholipids, lipid IV A; LA 14PP
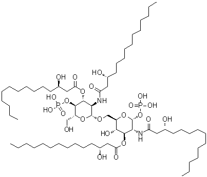
Molecular Structure CAS # 91841-27-9, Lipid A 406, 2-Deoxy-6-O-[2-deoxy-3-O-[(3R)-3-hydroxy-1-oxotetradecyl]-2-[[(3R)-3-hydroxy-1-oxotetradecyl]amino]-4-O-phosphono-beta-D-glucopyranosyl]-2-[[(3R)-3-hydroxy-1-oxotetradecyl]amino]-alpha-D-glucopyranose 1-(dihydrogen phosphate) 3-[(3R)-3-hydroxytetradecanoate], Compound 406, Glycophospholipids, lipid IV A, LA 14PP
Molecular Formula C68H130N2O23P2
Molecular Weight 1405.71
CAS Registry Number 91841-27-9
Properties
Solubility Insoluble (2.0E-5 g/L) (25 ºC), Calc.*
Density 1.21±0.1 g/cm3 (20 ºC 760 Torr), Calc.*
* Calculated using Advanced Chemistry Development (ACD/Labs) Software V11.02 (©1994-2016 ACD/Labs)
Market Analysis Reports
List of Reports Available for Lipid A 406
Related Products
Linseed oil, maleated, compd. with triethylamine  Linseed oil, polymer with benzoic acid, glycerol, maleic anhydride, pentaerythritol, phthalic anhydride and soybean oil  Linseed oil, polymer with hexamethylenediamine and sebacic acid  Linseed oil, polymer with Linseed oil, polymer with bisphenol A, C18-unsatd. fatty acid dimers, ethylenediamine, formaldehyde, glycerol, isophthalic acid, rosin, tall-oil fatty acids, 1-tridecanol and trimethylolpropane  Linuron  Linus cyclopeptide  Liothyronine sodium  Lipase  Lipase lipoprotein  Lipedoside B IIIb  Lipid 5  Lipiferolide  (+/-)-alpha-Lipoamide  Lipoic acid  R-(+)-alpha-Lipoic acid  R-alpha-Lipoic acid tromethamine salt  (-)-Lipstatin  Liquefied petroleum gases  Liquidambaric lactone  Liquid Germall Plus