Online Database of Chemicals from Around the World

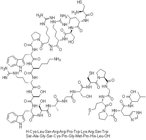
L-Cysteinyl-L-leucyl-L-seryl-L-arginyl-L-arginyl-L-prolyl-L-tryptophyl-L-lysyl-L-arginyl-L-seryl-L-tryptophyl-L-seryl-L-alanylglycyl-L-seryl-L-cysteinyl-L-prolylglycyl-L-methionyl-L-prolyl-L-histidyl-L-leucine
[CAS# 907625-65-4]

Identification
Classification Biochemical >> Peptide
Name L-Cysteinyl-L-leucyl-L-seryl-L-arginyl-L-arginyl-L-prolyl-L-tryptophyl-L-lysyl-L-arginyl-L-seryl-L-tryptophyl-L-seryl-L-alanylglycyl-L-seryl-L-cysteinyl-L-prolylglycyl-L-methionyl-L-prolyl-L-histidyl-L-leucine
Molecular Structure CAS # 907625-65-4, L-Cysteinyl-L-leucyl-L-seryl-L-arginyl-L-arginyl-L-prolyl-L-tryptophyl-L-lysyl-L-arginyl-L-seryl-L-tryptophyl-L-seryl-L-alanylglycyl-L-seryl-L-cysteinyl-L-prolylglycyl-L-methionyl-L-prolyl-L-histidyl-L-leucine
Protein Sequence 1-22 CLSRRPWKRS WSAGSCPGMP HL
[22-E-OH;]
Molecular Formula C109H170N36O27S3
Molecular Weight 2512.94
CAS Registry Number 907625-65-4
Properties
Density 1.55±0.1 g/cm3 (20 ºC 760 Torr), Calc.*
* Calculated using Advanced Chemistry Development (ACD/Labs) Software V11.02 (©1994-2016 ACD/Labs)
Market Analysis Reports
List of Reports Available for L-Cysteinyl-L-leucyl-L-seryl-L-arginyl-L-arginyl-L-prolyl-L-tryptophyl-L-lysyl-L-arginyl-L-seryl-L-tryptophyl-L-seryl-L-alanylglycyl-L-seryl-L-cysteinyl-L-prolylglycyl-L-methionyl-L-prolyl-L-histidyl-L-leucine
Related Products
L-Cysteinylglycyl-L-lysyl-L-arginyl-L-alpha-aspartyl-L-alanyl-L-alpha-glutamyl-L-phenylalanyl-L-arginyl-L-histidyl-L-alpha-aspartyl-L-serylglycyl-L-tyrosyl-L-alpha-glutamyl-L-valyl-L-histidyl-L-histidyl-L-glutaminyl-L-lysyl-L-leucyl-L-valyl-L-phenylalanyl-L-phenylalanyl-L-alanyl-L-alpha-glutamyl-L-alpha-aspartyl-L-valylglycyl-L-seryl-L-asparaginyl-L-lysylglycyl-L-alanyl-L-isoleucyl-L-isoleucylglycyl-L-leucyl-L-methionyl-L-valylglycylglycyl-L-valyl-L-valyl-L-isoleucyl-L-alanine  L-Cysteinylglycyl-L-lysyl-L-lysylglycylglycyl-L-leucyl-L-methionyl-L-valylglycylglycyl-L-valyl-L-valine  L-Cysteinylglycyl-L-lysyl-L-lysylglycyl-L-methionyl-L-valylglycylglycyl-L-valyl-L-valine  L-Cysteinylglycyl-L-lysyl-L-lysylglycyl-L-valylglycylglycyl-L-valyl-L-valyl-L-isoleucyl-L-alanine  L-Cysteinyl-L-histidyl-L-histidyl-L-phenylalanyl-L-phenylalanyl-D-tryptophyl-L-lysyl-L-threonyl-L-phenylalanyl-L-threonyl-L-seryl-L-cysteine cyclic (1→12)-disulfide  L-Cysteinyl-L-histidyl-L-seryl-L-arginyl-L-seryl-L-alanyl-L-alpha-aspartyl-L-valyl-L-alpha-aspartyl-L-seryl-L-leucyl-L-seryl-L-alpha-glutamyl-L-seryl-L-seryl-L-prolyl-L-asparaginyl-L-seryl-L-seryl-L-prolylglycyl-L-prolyl-L-cysteinyl-L-prolyl-L-alpha-glutamyl-L-lysyl-L-alanyl-L-prolyl-L-prolyl-L-prolyl-L-glutaminyl-L-lysyl-L-prolyl-L-seryl-L-histidyl-L-alpha-glutamylglycyl-L-seryl-L-tyrosyl-L-leucyl-L-leucyl-L-glutaminyl-L-proline cyclic (1→23)-disulfide  L-Cysteinyl-L-histidyl-L-serylglycyl-L-tyrosyl-L-valylglycyl-L-valyl-L-arginyl-L-cysteine cyclic (1→10)-disulfide  L-Cysteinyl-L-isoleucyl-L-alanyl-L-alpha-glutamyl-L-glutaminyl-L-tyrosyl-L-histidyl-L-threonyl-L-valine  L-Cysteinyl-L-isoleucyl-L-leucylglycyl-L-lysyl-L-leucyl-L-phenylalanyl-L-threonyl-L-lysine  L-Cysteinyl-L-leucyl-L-leucyl-L-tryptophyl-L-seryl-L-phenylalanyl-L-glutaminyl-L-threonyl-L-seryl-L-alanine  L-Cysteinyl-L-methionyl-L-threonyl-L-tryptophyl-L-asparaginyl-L-glutaminyl-L-methionyl-L-asparaginyl-L-leucine  L-Cysteinyl-L-phenylalanyl-L-seryl-L-arginyl-L-alanyl-L-tyrosyl-L-prolyl-L-threonyl-L-prolyl-L-leucyl-L-arginyl-L-seryl-L-lysyl-L-lysyl-L-threoninamide  L-Cysteinyl-L-prolyl-L-prolyl-L-tryptophyl-L-histidyl-L-prolyl-L-seryl-L-alpha-glutamyl-L-arginyl-L-isoleucyl-L-seryl-L-seryl-L-threonyl-L-leucine  L-Cysteinyl-L-seryl-L-cysteinyl-L-seryl-L-seryl-L-leucyl-L-methionyl-L-alpha-aspartyl-L-lysyl-L-alpha-glutamyl-L-cysteinyl-L-valyl-L-tyrosyl-L-phenylalanyl-L-cysteinyl-L-histidyl-L-leucyl-L-alpha-aspartyl-L-isoleucyl-L-isoleucyl-L-tryptophyl-L-valyl-L-asparaginyl-L-threonyl-L-prolyl-L-alpha-glutamyl-L-histidyl-L-valyl-L-valyl-L-prolyl-L-tyrosylglycyl-L-leucylglycyl-L-seryl-L-prolyl-L-seryl-L-arginyl-L-serine  L-Cysteinyl-L-seryl-L-isoleucyl-L-prolyl-L-prolyl-L-alpha-glutamyl-L-valyl-L-lysyl-L-phenylalanyl-L-asparaginyl-L-lysyl-L-prolyl-L-phenylalanyl-L-valyl-L-tyrosyl-L-leucyl-L-isoleucine  L-Cysteinyl-L-threonyl-L-alanyl-L-cysteinyl-L-arginyl-L-tryptophyl-L-lysyl-L-lysyl-L-alanyl-L-cysteinyl-L-glutaminyl-L-arginine  L-Cysteinyl-L-threonyl-L-cysteinyl-L-asparaginyl-L-alpha-aspartyl-L-norleucyl-L-threonyl-L-alpha-aspartyl-L-alpha-glutamyl-L-alpha-glutamyl-L-cysteinyl-L-leucyl-L-asparaginyl-L-phenylalanyl-L-cysteinyl-L-histidyl-L-glutaminyl-L-alpha-aspartyl-L-valyl-L-isoleucyl-L-tryptophan cyclic (1→15),(3→11)-bis(disulfide)  L-Cysteinyl-L-threonyl-L-threonyl-L-histidyl-L-tryptophylglycyl-L-phenylalanyl-L-threonyl-L-leucyl-L-cysteine cyclic (1→10)-disulfide  L-Cysteinyl-L-tyrosyl-L-alanyl-L-serylglycyl-L-tryptophylglycyl-L-seryl-L-isoleucine  DL-Cystine