| 杭州维康科技有限公司 | 中国 | 询价快递 | ||
|---|---|---|---|---|
![]() |
+86 (571) 8816-2785 +86 13606544505 | |||
![]() |
lucy@verychem.com | |||
| 化学品生产商 (2004年起) | ||||
| chemBlink 集群供应商 (2021年起) | ||||
| 青岛凯美特化工科技有限公司 | 中国 | 询价快递 | ||
|---|---|---|---|---|
![]() |
+86 (532) 8689-3005 | |||
![]() |
chemtrade@trade-chem.com | |||
| 化学品生产商 | ||||
| chemBlink 标准供应商 (2006年起) | ||||
| 山东保龄宝生物技术股份公司 | 中国 | 询价快递 | ||
|---|---|---|---|---|
![]() |
+86 (534) 212-6099 891-8699 212-6077 | |||
![]() |
baolingbao@blb-cn.com | |||
| 化学品生产商 | ||||
| chemBlink 标准供应商 (2007年起) | ||||
| 北京格莱蒙特国际贸易有限公司 | 中国 | 询价快递 | ||
|---|---|---|---|---|
![]() |
+86 (10) 5969-3741 5969-3742 5969-3743 | |||
![]() |
logistics@gremount.com.cn | |||
| 化学品供销商 | ||||
| chemBlink 标准供应商 (2007年起) | ||||
| 厦门志信化学有限公司 | 中国 | 询价快递 | ||
|---|---|---|---|---|
![]() |
+86 13806087780 | |||
![]() |
sale@simagchem.com | |||
| 化学品生产商 (2002年起) | ||||
| chemBlink 标准供应商 (2008年起) | ||||
| 合肥天健化工有限公司 | 中国 | 询价快递 | ||
|---|---|---|---|---|
![]() |
+86 (551) 6541-8684 | |||
![]() |
sales@tnjchem.com | |||
| 化学品生产商 (2001年起) | ||||
| chemBlink 标准供应商 (2010年起) | ||||
| Sanxinyuan Food Industry Corp.Ltd. | 中国 | 询价快递 | ||
|---|---|---|---|---|
![]() |
+86 (534) 7126-6078 | |||
![]() |
export@sanxinyuanfood.com | |||
| 化学品生产商 (1997年起) | ||||
| chemBlink 标准供应商 (2010年起) | ||||
| BOC Sciences | 美国 | 询价快递 | ||
|---|---|---|---|---|
![]() |
+1 (631) 485-4226 | |||
![]() |
info@bocsci.com | |||
| 化学品生产商 | ||||
| chemBlink 标准供应商 (2010年起) | ||||
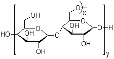
| 产品分类 | 生物化工 >> 糖类化合物 >> 多糖 |
|---|---|
| 英文名 | Maltodextrin |
| 别名 | MLD |
| 产品名称 | 麦芽糖糊精 |
| 分子结构 | ![]() |
| CAS 登录号 | 9050-36-6 |
| EC 号码 | 232-940-4 |
| 分子行输入简码 SMILES |
O[C@@H]([C@H](O)[C@@H](O)C=O)[C@H](O)CO |
| 熔点 | 240 ºc (分解) |
|---|---|
| 危险品标志 |
|
|---|---|
| 危害标签 | H302-H315-H319-H335 说明 |
| 防护标签 | P261-P305+P351+P338 说明 |
| SDS | 化学品安全技术说明书参考文本 |
|
麦芽糊精是一种多糖,常用作食品添加剂以及药物和工业配方中的功能性成分。它由淀粉部分水解而成,通常来自玉米、小麦、大米或马铃薯。该过程涉及酶促或酸催化将淀粉分解成较小的葡萄糖聚合物,从而产生白色吸湿性粉末,可溶于水,并根据水解程度具有微甜至中性的味道。 麦芽糊精的发现和商业化发展与20世纪碳水化合物化学和食品加工技术的进步密切相关。随着酶水解方法变得更加高效和经济,工业规模生产麦芽糊精成为可能。其生产以葡萄糖当量(DE)为标准,该值表示水解程度,并与其甜度和还原糖含量相关。麦芽糊精的DE值通常小于20,这与葡萄糖浆有所区别。 在食品工业中,麦芽糊精有多种用途。它广泛用作填充剂、调质剂、稳定剂以及调味料和色素的载体。由于其风味中性和高溶解性,它易于与其他成分混合,从而改善口感并提高粉末和加工产品的稠度。常见的食品应用包括粉状饮料、速溶汤、酱料、乳制品、糖果和营养补充剂。 麦芽糊精在低脂和低热量食品的配方中也发挥着重要作用。它可以模拟脂肪的质地和口感,而不会增加大量的脂肪含量,从而使制造商能够满足消费者对更轻盈食品的需求。此外,它还可用作喷雾干燥挥发性化合物(例如风味油、维生素和益生菌)的包封剂,有助于保护它们免受氧化和潮湿,同时延长保质期。 在运动和临床营养领域,麦芽糊精因其快速消化和高血糖指数而备受推崇。它通常被添加于富含碳水化合物的补充剂中,供运动员或需要快速补充能量的患者使用。摄入后,它会迅速分解成葡萄糖并被吸收到血液中,因此适用于能量饮料、恢复配方和肠外营养。 除了食品和营养领域,麦芽糊精还应用于制药和工业产品。在制药领域,它可用作片剂和胶囊制剂的填充剂和粘合剂,以及粉状药物中活性成分的载体。它与其他辅料的相容性以及公认安全 (GRAS) 的属性使其成为口服和外用剂型的理想辅料。 在化妆品和个人护理产品中,麦芽糊精可用作粘度调节剂、成膜剂和保湿添加剂。它可用于面霜、乳液和护发产品等配方中,有助于提高产品的稳定性和感官品质。 麦芽糊精的广泛应用促使人们对其安全性和监管状况进行广泛的评估。包括美国食品药品监督管理局和欧洲食品安全局在内的主要食品安全机构认为麦芽糊精无毒且可安全食用。尽管其淀粉来源可能包括小麦,但根据当地法规,生产过程中可能会将麸质含量降低到无麸质标签可接受的水平。 然而,患有糖尿病等特定健康状况的人可能需要监测麦芽糊精的摄入量,因为它对血糖的影响较大。在极少数情况下,麦芽糊精会引起过敏反应或胃肠不适,尤其是在大量食用时。 总而言之,麦芽糊精是一种用途广泛且广泛使用的淀粉衍生多糖,因其在食品、制药和工业应用中的功能特性而备受重视。它作为载体、增稠剂和碳水化合物来源的作用使其成为许多消费品的主要成分,并得到了数十年安全使用和监管批准的支持。 参考文献 2007. Contribution of mucosal maltase-glucoamylase activities to mouse small |
| 市场分析报告 |
| 请浏览麦芽糖糊精市场分析报告总目录 |