Online Database of Chemicals from Around the World

Mogroside II-E
[CAS# 88901-38-6]

List of Suppliers
Chengdu Biopurify Phytochemicals Ltd. China Inquire  
+86 (28) 8263-3860
8263-3987
sales@biopurify.com
biopurify@gmail.com
Skype Chat
QQ chat
Chemical manufacturer
chemBlink standard supplier since 2017
Neostar United (Changzhou) Industrial Co., Ltd. China Inquire  
+86 (519) 8555-7386
+86 18015025600
marketing1@neostarunited.com
Chemical distributor since 2014
chemBlink standard supplier since 2020
Complete supplier list of Mogroside II-E
Identification
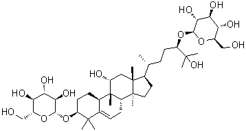
Name Mogroside II-E
Synonyms (3beta,9beta,10alpha,11alpha,24R)-11,25-Dihydroxy-9-methyl-19-norlanost-5-ene-3,24-diyl bis-beta-D-glucopyranoside
Molecular Structure CAS # 88901-38-6, Mogroside II-E, (3beta,9beta,10alpha,11alpha,24R)-11,25-Dihydroxy-9-methyl-19-norlanost-5-ene-3,24-diyl bis-beta-D-glucopyranoside
Molecular Formula C42H72O14
Molecular Weight 801.01
CAS Registry Number 88901-38-6
Properties
Solubility Insoluble (9.6E-4 g/L) (25 ºC), Calc.*
Density 1.33±0.1 g/cm3 (20 ºC 760 Torr), Calc.*
* Calculated using Advanced Chemistry Development (ACD/Labs) Software V11.02 (©1994-2016 ACD/Labs)
Market Analysis Reports
List of Reports Available for Mogroside II-E
Related Products
Moexipril related compound B  Moexipril tert-butyl ester maleate  Mofezolac  MOG (35-55)  MOG (35-55)  Moganite  Mogrol  Mogroside I-A1  Mogroside I-E1  Mogroside II-A2  Mogroside II-A1  Mogroside II A  Mogroside II B  Mogroside III-A1  Mogroside III-E  Mogroside III-A2  Mogroside III  Mogroside IV-A  Mogroside IV-E  Mogroside IV