| Simagchem Corporation | China | Inquire | ||
|---|---|---|---|---|
![]() |
+86 13806087780 | |||
![]() |
sale@simagchem.com | |||
| Chemical manufacturer since 2002 | ||||
| chemBlink standard supplier since 2008 | ||||
| Nanning Weikang Pharmaceutical Technology Co., Ltd. | China | Inquire | ||
|---|---|---|---|---|
![]() |
+86 (771) 451-6110 | |||
![]() |
sales@weikangpharm.com | |||
| Chemical manufacturer | ||||
| chemBlink standard supplier since 2010 | ||||
| Wilshire Technologies, Inc. | USA | Inquire | ||
|---|---|---|---|---|
![]() |
+1 (609) 683-1117 | |||
![]() |
Wilshire-info@evonik.com | |||
| Chemical manufacturer since 1997 | ||||
| chemBlink standard supplier since 2010 | ||||
| Amax NutraSource, Inc. | USA | Inquire | ||
|---|---|---|---|---|
![]() |
+1 (541) 688-4944 | |||
![]() |
ml@amaxnutrasource.com | |||
| Chemical manufacturer | ||||
| chemBlink standard supplier since 2010 | ||||
| BOC Sciences | USA | Inquire | ||
|---|---|---|---|---|
![]() |
+1 (631) 485-4226 | |||
![]() |
info@bocsci.com | |||
| Chemical manufacturer | ||||
| chemBlink standard supplier since 2010 | ||||
| Aktin Chemicals Inc | China | Inquire | ||
|---|---|---|---|---|
![]() |
+86 400-028-7725 | |||
![]() |
info@aktinchem.com | |||
![]() |
QQ chat | |||
| Chemical manufacturer | ||||
| chemBlink standard supplier since 2011 | ||||
| Xi'an Union Pharmpro Co., Ltd. | China | Inquire | ||
|---|---|---|---|---|
![]() |
+86 (29) 8886-5676 | |||
![]() |
info@unipharmpro.com | |||
| Chemical manufacturer | ||||
| chemBlink standard supplier since 2012 | ||||
| Alb Technology Limited | Hong Kong | Inquire | ||
|---|---|---|---|---|
![]() |
+86 13761845651 | |||
![]() |
sales@albmaterials.com | |||
| Chemical distributor since 2013 | ||||
| chemBlink standard supplier since 2014 | ||||
| Classification | Food additive >> Sweetener |
|---|---|
| Name | Mogroside V |
| Synonyms | Momordica Extract |
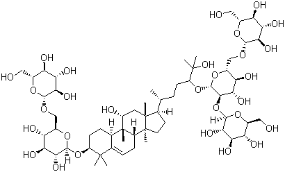
| Molecular Structure | ![]() |
| Molecular Formula | C60H102O29 |
| Molecular Weight | 1287.43 |
| CAS Registry Number | 88901-36-4 |
| EC Number | 695-005-3 |
| Density | 1.51 |
|---|---|
| Hazard Classification | |||||||||||||
|---|---|---|---|---|---|---|---|---|---|---|---|---|---|
| |||||||||||||
| SDS | Available | ||||||||||||
| Market Analysis Reports |
| List of Reports Available for Mogroside V |