Online Database of Chemicals from Around the World

Lisicon SP 210
[CAS# 888491-19-8]

List of Suppliers
Ossila Limited UK Inquire  
+44 (114) 213-2770
info@ossila.com
Chemical manufacturer
chemBlink standard supplier since 2011
Sigma-Aldrich, Inc. China Inquire  
+86 (21) 6141-5566
800-819-3336
orderCN@sial.com
Chemical manufacturer since 1992
chemBlink standard supplier since 2013
Complete supplier list of Lisicon SP 210
Identification
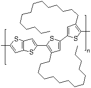
Name Lisicon SP 210
Synonyms Poly(2,5-bis(3-tetradecylthiophen-2-yl)thieno[3,2-b]thiophene); Poly[thieno[3,2-b]thiophene-2,5-diyl(4,4'-ditetradecyl[2,2'-bithiophene]-5,5'-diyl)]
Molecular Structure CAS # 888491-19-8, Lisicon SP 210, Poly(2,5-bis(3-tetradecylthiophen-2-yl)thieno[3,2-b]thiophene), Poly[thieno[3,2-b]thiophene-2,5-diyl(4,4'-ditetradecyl[2,2'-bithiophene]-5,5'-diyl)]
Molecular Formula (C42H62S4)n
CAS Registry Number 888491-19-8
Safety Data
SDS Available
Market Analysis Reports
List of Reports Available for Lisicon SP 210
Related Products
Lithium difluoro(oxalato)borate  Lithium difluorophosphate  Lithium dihydrogen phosphate  Lithium diisobutyl-tert-butoxyaluminum hydride  Lithium diisopropylamide  Lithium fluoride  Lithium formate  Lithium D-gluconate  Lithium glycolate  Lithium hexafluorophosphate  Lisinopril  Lisinopril  Lisuride  Litenimod  alpha-Lithioisopropyl phenyl selenoxide  Lithium acetate  Lithium acetate dihydrate  Lithium acetoacetate  Lithium acetylide ethylenediamine complex  Lithium aluminium hydride