Online Database of Chemicals from Around the World

Liriopeside B
[CAS# 87425-34-1]

List of Suppliers
Chengdu Biopurify Phytochemicals Ltd. China Inquire  
+86 (28) 8263-3860
8263-3987
sales@biopurify.com
biopurify@gmail.com
Skype Chat
QQ chat
Chemical manufacturer
chemBlink standard supplier since 2017
Neostar United (Changzhou) Industrial Co., Ltd. China Inquire  
+86 (519) 8555-7386
+86 18015025600
marketing1@neostarunited.com
Chemical distributor since 2014
chemBlink standard supplier since 2020
Complete supplier list of Liriopeside B
Identification
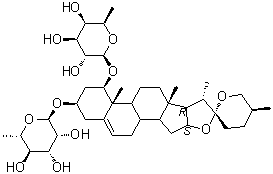
Name Liriopeside B
Synonyms (1beta,3beta,25S)-3-[(6-Deoxy-alpha-L-mannopyranosyl)oxy]spirost-5-en-1-yl 6-deoxy-beta-D-galactopyranoside; Nolinospiroside F
Molecular Structure CAS # 87425-34-1, Liriopeside B, (1beta,3beta,25S)-3-[(6-Deoxy-alpha-L-mannopyranosyl)oxy]spirost-5-en-1-yl 6-deoxy-beta-D-galactopyranoside, Nolinospiroside F
Molecular Formula C39H62O12
Molecular Weight 722.90
CAS Registry Number 87425-34-1
EC Number 813-733-3
Properties
Solubility Insoluble (2.1E-3 g/L) (25 ºC), Calc.*
Density 1.34±0.1 g/cm3 (20 ºC 760 Torr), Calc.*
* Calculated using Advanced Chemistry Development (ACD/Labs) Software V11.02 (©1994-2014 ACD/Labs)
Safety Data
Hazard Classification
up    Details
HazardClassCategory CodeHazard Statement
Skin sensitizationSkin Sens.1H317
SDS Available
Market Analysis Reports
List of Reports Available for Liriopeside B
Related Products
Liquiritigenin 7-beta-D-glucopyranoside  Liquiritin  Liquiritin apioside  Liraglutide  Liranaftate  Lirimilast  Liriodendrin  Liriodenine  beta-Liriodenolide  Liriope muscari baily saponins C  Lirioprolioside B  Lirioresinol A  Lisavanbulin  Lisdexamfetamine dimesylate  9,11-Linoleic acid  gamma-Linolenic acid  Linolenic acid  N-Linoleoylethanolamine  Linoleyl alcohol  Linoleyl methanesulfonate