Online Database of Chemicals from Around the World

Deoxy-BigCHAP
[CAS# 86303-23-3]

List of Suppliers
Carbosynth China Ltd. China Inquire  
+86 (512) 6260-5585
sales@carbosynth.com
QQ chat
Chemical manufacturer since 2006
chemBlink standard supplier since 2016
Dojindo Molecular Technologies, Inc. USA Inquire  
+1 (301) 987-2667
info@dojindo.com
Chemical manufacturer
Toronto Research Chemicals Inc. Canada Inquire  
+1 (416) 665-9696
info@trc-canada.com
Chemical manufacturer since 1982
Complete supplier list of Deoxy-BigCHAP
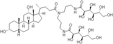
Identification
Name Deoxy-BigCHAP
Synonyms N,N-Bis[3-(D-gluconamido)propyl]deoxycholamide; (3a,5b,12a)-N,N-Bis[3-(D-gluconoylamino)propyl]-3,12-dihydroxycholan-24-amide
Molecular Structure CAS # 86303-23-3, Deoxy-BigCHAP, N,N-Bis[3-(D-gluconamido)propyl]deoxycholamide, (3a,5b,12a)-N,N-Bis[3-(D-gluconoylamino)propyl]-3,12-dihydroxycholan-24-amide
Molecular Formula C42H75N3O15
Molecular Weight 862.06
CAS Registry Number 86303-23-3
EC Number 635-520-2
Safety Data
Hazard Symbols symbol   Xi    Details
Risk Codes R36/37/38    Details
Safety Description S26;S36    Details
Hazard Classification
up    Details
HazardClassCategory CodeHazard Statement
Skin irritationSkin Irrit.2H315
Eye irritationEye Irrit.2H319
Specific target organ toxicity - single exposureSTOT SE3H335
SDS Available
Market Analysis Reports
List of Reports Available for Deoxy-BigCHAP
Related Products
5'-Deoxy-5'-aminoadenosine  Deoxyandrographolide  Deoxyandrographolide  3-Deoxy-D-arabino-hexonic acid calcium salt  2-Deoxy-D-arabino-hexose-1,2-C-t2  5-Deoxy-L-arabinonic acid gamma-lactone  5-Deoxy-L-arabinose  5-Deoxy-L-arabinose phenylhydrazone  Deoxyarbutin  Deoxyartemisinin  Deoxycalyciphylline B  3-Deoxy 3-Chloro Abiraterone  2-Deoxy-2-(chloroacetamido)-D-glucopyranose  2-Deoxy-2-chloro-D-mannose  2'-Deoxy-2'-chlorouridine  Deoxycholic acid  Deoxycorticosterone acetate  11-Deoxycortisol  11-Deoxycortisol-D5 (2,2,4,6,6-D5)  21-Deoxycortisone