Online Database of Chemicals from Around the World

O-beta-D-吡喃半乳糖基-(1→4)-O-3,6-脱水-alpha-L-吡喃半乳糖基-(1→3)-O-beta-D-吡喃半乳糖基-(1→4)-O-3,6-脱水-alpha-L-吡喃半乳糖基-(1→3)-O-beta-D-吡喃半乳糖基-(1→4)-O-3,6-脱水-alpha-L-吡喃半乳糖基-(1→3)-O-beta-D-吡喃半乳糖基-(1→4)-O-3,6-脱水-alpha-L-吡喃半乳糖基-(1→3)-beta-D-吡喃半乳糖
[CAS# 852690-26-7]

基本信息
英文名 O-beta-D-Galactopyranosyl-(1→4)-O-3,6-anhydro-alpha-L-galactopyranosyl-(1→3)-O-beta-D-galactopyranosyl-(1→4)-O-3,6-anhydro-alpha-L-galactopyranosyl-(1→3)-O-beta-D-galactopyranosyl-(1→4)-O-3,6-anhydro-alpha-L-galactopyranosyl-(1→3)-O-beta-D-galactopyranosyl-(1→4)-O-3,6-anhydro-alpha-L-galactopyranosyl-(1→3)-beta-D-galactopyranose
产品名称 O-beta-D-吡喃半乳糖基-(1→4)-O-3,6-脱水-alpha-L-吡喃半乳糖基-(1→3)-O-beta-D-吡喃半乳糖基-(1→4)-O-3,6-脱水-alpha-L-吡喃半乳糖基-(1→3)-O-beta-D-吡喃半乳糖基-(1→4)-O-3,6-脱水-alpha-L-吡喃半乳糖基-(1→3)-O-beta-D-吡喃半乳糖基-(1→4)-O-3,6-脱水-alpha-L-吡喃半乳糖基-(1→3)-beta-D-吡喃半乳糖
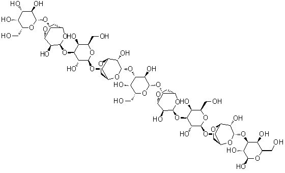
分子结构 CAS 登录号:852690-26-7, O-beta-D-吡喃半乳糖基-(1→4)-O-3,6-脱水-alpha-L-吡喃半乳糖基-(1→3)-O-beta-D-吡喃半乳糖基-(1→4)-O-3,6-脱水-alpha-L-吡喃半乳糖基-(1→3)-O-beta-D-吡喃半乳糖基-(1→4)-O-3,6-脱水-alpha-L-吡喃半乳糖基-(1→3)-O-beta-D-吡喃半乳糖基-(1→4)-O-3,6-脱水-alpha-L-吡喃半乳糖基-(1→3)-beta-D-吡喃半乳糖
分子式 C54H84O42
分子量 1405.22
CAS 登录号 852690-26-7
物理化学性质
溶解度 微溶 (3.7 g/L) (25 ºC), 计算值*
密度 1.87±0.1 g/cm3 (20 ºC 760 torr), 计算值*
* 使用计算软件 Advanced Chemistry Development (ACD/Labs) V11.02 (©1994-2016 ACD/Labs)
市场分析报告
请浏览O-beta-D-吡喃半乳糖基-(1→4)-O-3,6-脱水-alpha-L-吡喃半乳糖基-(1→3)-O-beta-D-吡喃半乳糖基-(1→4)-O-3,6-脱水-alpha-L-吡喃半乳糖基-(1→3)-O-beta-D-吡喃半乳糖基-(1→4)-O-3,6-脱水-alpha-L-吡喃半乳糖基-(1→3)-O-beta-D-吡喃半乳糖基-(1→4)-O-3,6-脱水-alpha-L-吡喃半乳糖基-(1→3)-beta-D-吡喃半乳糖市场分析报告总目录
相关产品
半乳糖氧化酶  beta-D-半乳糖五乙酸酯  alpha-半乳糖苷酶  2-(beta-D-半乳糖苷氧基)萘-3-甲酰 2,5-二甲氧基-4-氯苯胺  N-[(1S,2R,3E)-1-[[[O-beta-D-吡喃半乳糖基-(1→4)-O-2-(乙酰氨基)-2-脱氧-beta-D-吡喃葡萄糖基-(1→3)-O-beta-D-吡喃半乳糖基-(1→4)-beta-D-吡喃葡萄糖基]氧基]甲基]-2-羟基-3-十七碳烯-1-基]-十八烷酰胺  O-beta-D-吡喃半乳糖基-(1→3)-O-2-(乙酰氨基)-2-脱氧-beta-D-吡喃葡萄糖基-(1→2)-O-alpha-D-甘露糖基-(1→3)-O-[O-2-(乙酰氨基)-2-脱氧-beta-D-吡喃葡萄糖基-(1→2)-alpha-D-甘露糖基-(1→6)]-O-beta-D-甘露糖基-(1→4)-O-2-(乙酰氨基)-2-脱氧-beta-D-吡喃葡萄糖基-(1→4)-O-[6-脱氧-alpha-L-吡喃半乳糖基-(1→6)]-2-(乙酰氨基)-2-脱氧-D-葡萄糖  D-吡喃半乳糖胺  O-beta-D-吡喃半乳糖基-(1→4)-O-3,6-脱水-alpha-L-吡喃半乳糖基-(1→3)-beta-D-吡喃半乳糖  O-beta-D-吡喃半乳糖基-(1→4)-O-3,6-脱水-alpha-L-吡喃半乳糖基-(1→3)-O-beta-D-吡喃半乳糖基-(1→4)-O-3,6-脱水-alpha-L-吡喃半乳糖基-(1→3)-beta-D-吡喃半乳糖  O-beta-D-吡喃半乳糖基-(1→4)-O-3,6-脱水-alpha-L-吡喃半乳糖基-(1→3)-O-beta-D-吡喃半乳糖基-(1→4)-O-3,6-脱水-alpha-L-吡喃半乳糖基-(1→3)-O-beta-D-吡喃半乳糖基-(1→4)-O-3,6-脱水-alpha-L-吡喃半乳糖基-(1→3)-beta-D-吡喃半乳糖  6-O-alpha-D-吡喃半乳糖基-D-果糖  3-O-(alpha-D-吡喃半乳糖基)-2-O-(alpha-L-吡喃岩藻糖基)-D-半乳糖  6-O-alpha-D-吡喃半乳糖基-D-吡喃半乳糖  alpha-D-吡喃半乳糖基 alpha-D-吡喃半乳糖苷  O-alpha-D-吡喃半乳糖基-(1→3)-O-beta-D-吡喃半乳糖基-(1→4)-2-(乙酰氨基)-2-脱氧-beta-D-吡喃葡萄糖  O-alpha-D-吡喃半乳糖基-(1→3)-O-beta-D-吡喃半乳糖基-(1→4)-O-2-(乙酰氨基)-2-脱氧-beta-D-吡喃葡萄糖基-(1→3)-O-beta-D-吡喃半乳糖基-(1→4)-beta-D-吡喃葡萄糖  O-alpha-D-吡喃半乳糖基-(1→3)-O-beta-D-吡喃半乳糖基-(1→4)-O-2-(乙酰氨基)-2-脱氧-beta-D-吡喃葡萄糖基-(1→3)-O-beta-D-吡喃半乳糖基-(1→4)-D-葡萄糖  O-beta-D-吡喃半乳糖基-(1→3)-O-beta-D-吡喃半乳糖基-(1→4)-O-2-(乙酰氨基)-2-脱氧-beta-D-吡喃葡萄糖基-(1→3)-O-beta-D-吡喃半乳糖基-(1→4)-D-葡萄糖  O-alpha-D-吡喃半乳糖基-(1→3)-O-beta-D-吡喃半乳糖基-(1→3)-2-(乙酰氨基)-2-脱氧-D-葡萄糖  4-O-beta-D-吡喃半乳糖基-D-葡萄糖酸钙盐二水合物