Online Database of Chemicals from Around the World

Bis[5'-[[3-[4-[[5-(aminosulfonyl)-2-hydroxyphenyl]azo]-4,5-dihydro-3-methyl-5-oxo-1H-pyrazol-1-yl]phenyl]azo]-1'-[3-(dimethylamino)propyl]-1',2'-dihydro-6'-hydroxy-4'-methyl-2'-oxo-1,3'-bipyridiniumato]iron salt with 2-hydroxypropanoic acid (1:1) bis(2-hydroxypropanoate) (salt)
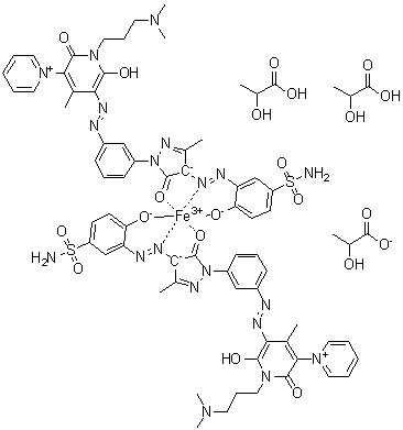
[CAS# 79135-21-0]

Identification
Name Bis[5'-[[3-[4-[[5-(aminosulfonyl)-2-hydroxyphenyl]azo]-4,5-dihydro-3-methyl-5-oxo-1H-pyrazol-1-yl]phenyl]azo]-1'-[3-(dimethylamino)propyl]-1',2'-dihydro-6'-hydroxy-4'-methyl-2'-oxo-1,3'-bipyridiniumato]iron salt with 2-hydroxypropanoic acid (1:1) bis(2-hydroxypropanoate) (salt)
Molecular Structure CAS # 79135-21-0, Bis[5'-[[3-[4-[[5-(aminosulfonyl)-2-hydroxyphenyl]azo]-4,5-dihydro-3-methyl-5-oxo-1H-pyrazol-1-yl]phenyl]azo]-1'-[3-(dimethylamino)propyl]-1',2'-dihydro-6'-hydroxy-4'-methyl-2'-oxo-1,3'-bipyridiniumato]iron salt with 2-hydroxypropanoic acid (1:1) bis(2-hydroxypropanoate) (salt)
Molecular Formula C64H66FeN20O12S2.2(C3H6O3).C3H5O3
Molecular Weight 1696.54
CAS Registry Number 79135-21-0
EC Number 279-072-2
Market Analysis Reports
List of Reports Available for Bis[5'-[[3-[4-[[5-(aminosulfonyl)-2-hydroxyphenyl]azo]-4,5-dihydro-3-methyl-5-oxo-1H-pyrazol-1-yl]phenyl]azo]-1'-[3-(dimethylamino)propyl]-1',2'-dihydro-6'-hydroxy-4'-methyl-2'-oxo-1,3'-bipyridiniumato]iron salt with 2-hydroxypropanoic acid (1:1) bis(2-hydroxypropanoate) (salt)
Related Products
2',5'-Bis(benzyloxy)acetophenone  2,5-Bis(4-aminophenyl)thiadiazole  1,4-Bis(3-aminopropoxy)butane  N,N-Bis(3-aminopropyl)dodecylamine  N,N'-Bis(3-aminopropyl)-1,2-ethanediamine  N,N-Bis(3-aminopropyl)methylamine  N,N'-Bis(3-aminopropyl)octahydro-4,7-methano-1H-indene-5,?-dimethanamine  1,4-Bis(3-aminopropyl)piperazine  O,O'-Bis(2-aminopropyl)polypropyleneglycol  1,3-Bis(3-aminopropyl)-1,1,3,3-tetramethyldisiloxane  4,4'-Bis(4-amino-2-trifluoromethylphenoxy)biphenyl  1,4-Bis(4-amino-2-trifluoromethylphenoxy)-2,5-di-tert-butylbenzene  Bisandrographolide A  Bisandrographolide C  Bisantipyrylmethane  Bisantrene  Bisantrene dihydrochloride  2,6-Bis(4-azidobenzal)-4-methylcyclohexanone  Bis(4-azidophenyl)disulfide  trans-2,4-Bis(1-aziridinyl)-2,2,4,4,6,6-hexahydro-2,4,6,6-tetrakis(methylamino)-1,3,5,2,4,6-triazatriphosphorine