Online Database of Chemicals from Around the World

3,6,9,12,15,18,21,24,27,30-十氧杂三十二烷-1,32-二醇
[CAS# 6809-70-7]

供应商目录
苏州昊帆生物股份有限公司 中国 询价快递  
+86 (512) 6708-1238
6920-9928
+86 13906211132
sales@highfine.com
QQ 交谈
化学品生产商 (2003年起)
chemBlink 标准供应商 (2008年起)
Biochempeg 美国 询价快递  
+1 (857) 366-6766
sales@biochempeg.com
化学品生产商 (2013年起)
chemBlink 标准供应商 (2014年起)
Wonderchem Co., Limited 香港 询价快递  
+852 8192-5218
sales@wonder-chem.com
化学品供销商 (2016年起)
chemBlink 标准供应商 (2017年起)
3,6,9,12,15,18,21,24,27,30-十氧杂三十二烷-1,32-二醇供应商总目录
基本信息
英文名 3,6,9,12,15,18,21,24,27,30-Decaoxadotriacontane-1,32-diol
别名 Undecaethylene glycol
产品名称 3,6,9,12,15,18,21,24,27,30-十氧杂三十二烷-1,32-二醇
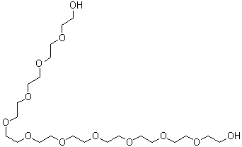
分子结构 CAS 登录号:6809-70-7, 3,6,9,12,15,18,21,24,27,30-十氧杂三十二烷-1,32-二醇
分子式 C22H46O12
分子量 502.59
CAS 登录号 6809-70-7
EC 号码 229-884-8
物理化学性质
溶解度 极易溶解 (1000 g/L) (25 ºC), 计算值*
密度 1.116±0.06 g/cm3 (20 ºC 760 torr), 计算值*
* 使用计算软件 Advanced Chemistry Development (ACD/Labs) V11.02 (©1994-2016 ACD/Labs)
安全数据
SDS 化学品安全技术说明书参考文本
市场分析报告
请浏览3,6,9,12,15,18,21,24,27,30-十氧杂三十二烷-1,32-二醇市场分析报告总目录
相关产品
丁位癸内酯  3-癸酮  2-癸酮  混合辛癸酸甘油单酯  癸酰氯  N-癸酰-N-(2-羟基乙基)葡萄糖胺  N-癸酰基吗啉  辛癸酸甘油酯  (R)-3-(癸酰氧基)十四烷酸  3,6,9,12,15,18,21,24,27,30-十氧杂三十二烷-1,32-二胺  2,5,8,11,14,17,20,23,26,29-十氧杂三十一烷-31-硫醇  3,6,9,12,15,18,21,24,27,30-十氧杂三十一烷酸  3,8,15,20,27,32,39,44,51,56-十氧杂六环[56.2.2.2(10,13).2(22,25).2(34,37).2(46,49)]七十碳-10,11,12,22,23,24,34,35,36,46,47,48,58,60,61-十五烯-2,9,14,21,26,33,38,45,50,57-十酮  脱羧氧氟沙星  1-脱羧-3-氧代茶酸  德卡林碱  6-异丙基-2-十氢萘酚  十甲基环五硅氧烷  十甲基二茂铁六氟磷酸盐  十甲基二茂镍