Online Database of Chemicals from Around the World

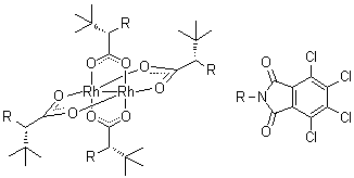
Rh2(S-TCPTTL)4
[CAS# 515876-71-8]

List of Suppliers
CAS: 515876-71-8
Product: Rh2(S-TCPTTL)4
No suppilers available.
Identification
Name Rh2(S-TCPTTL)4
Synonyms Tetrakis[mu-[(alphaS)-4,5,6,7-tetrachloro-alpha-(1,1-dimethylethyl)-1,3-dihydro-1,3-dioxo-2H-isoindole-2-acetato]]dirhodium
Molecular Structure CAS # 515876-71-8, Rh2(S-TCPTTL)4, Tetrakis[mu-[(alphaS)-4,5,6,7-tetrachloro-alpha-(1,1-dimethylethyl)-1,3-dihydro-1,3-dioxo-2H-isoindole-2-acetato]]dirhodium
Molecular Formula C56H40Cl16N4O16Rh2
Molecular Weight 1797.99
CAS Registry Number 515876-71-8
Properties
Melting point >280 ºC (ethyl acetate hexane )*
* Tsutsui, Hideyuki; Tetrahedron: Asymmetry 2003, V14(7), P817-821.
Market Analysis Reports
List of Reports Available for Rh2(S-TCPTTL)4
Related Products
D-Ribose  Rhododendrol  (+)-Rhododendrol  Rhodojaponin II  Rhodojaponin III  Rhodojaponin V  Rhoduline acid  Rhoifolin  Rhoplex HA 8  Rhosin  Rh2(S-TFPTTL)4  Rhuscholide A  Rhynchophylline  RI-1  Ribavirin  Ribociclib Impurity 18  Riboflavin-2,4,4a,10a-13C4-1,3-15N2  Riboflavin  Riboflavin 5'-monophosphate sodium salt dihydrate  Riboflavin-5-phosphate sodium