Online Database of Chemicals from Around the World

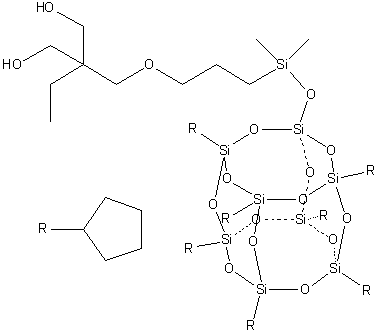
1-[3-(1,3-Propanediol-2-ethyl-2-methyloxy)propyldimethylsiloxy]-3,5,7,9,11,13,15-heptacyclopentyloctasilsesquioxane
[CAS# 268747-51-9]

Identification
Name 1-[3-(1,3-Propanediol-2-ethyl-2-methyloxy)propyldimethylsiloxy]-3,5,7,9,11,13,15-heptacyclopentyloctasilsesquioxane
Molecular Structure CAS # 268747-51-9, 1-[3-(1,3-Propanediol-2-ethyl-2-methyloxy)propyldimethylsiloxy]-3,5,7,9,11,13,15-heptacyclopentyloctasilsesquioxane
Molecular Formula C46H88O16Si9
Molecular Weight 1149.95
CAS Registry Number 268747-51-9
Properties
Density 1.21±0.1 g/cm3 (20 ºC 760 Torr), Calc.*
* Calculated using Advanced Chemistry Development (ACD/Labs) Software V11.02 (©1994-2015 ACD/Labs)
Market Analysis Reports
List of Reports Available for 1-[3-(1,3-Propanediol-2-ethyl-2-methyloxy)propyldimethylsiloxy]-3,5,7,9,11,13,15-heptacyclopentyloctasilsesquioxane
Related Products
Propargite  Propargyl acrylate  Propargyl alcohol  Propargyl alcohol propoxylate  Propargylamine hydrochloride  Propargyl benzenesulfonate  1,3-Propanediol bis(4-aminobenzoate)  (S)-1,2-Propanediol carbonate  2,2-Propanediol cyclic (p-methylbenzylidene)malonate  1,3-Propanediol, 2-ethyl-2-(hydroxymethyl)-, homopolymer, isooctadecanoate  1,2-Propanediol monolaurate  1,2-propanediol monooleate  Propane-1,3-diphosphonic acid tetraethyl ester  1,3-Propanedisulfonyl chloride  1,2-Propanedithiol  1,1'-(1,3-Propanediyl)bis[1,1-bis(2-methoxy-5-methylphenyl)phosphine]  N,N'-Propane-1,3-diylbis[3-(3,5-di-tert-butyl-4-hydroxyphenyl)propionamide]  O,O'-1,3-Propanediylbishydroxylamine dihydrochloride  1,1'-[1,3-Propanediylbis(oxy)]bis[2,5-dimethylbenzene]  2,2'-[Propane-2,2-diylbis(thio)]diacetic acid