Online Database of Chemicals from Around the World

1-氯-3,5,7,9,11,13,15-七环戊基八倍半硅氧烷
[CAS# 216972-57-5]

供应商目录
Alfa Chemistry 美国 询价快递  
+1 (201) 478-8534
inquiry@alfa-chemistry.com
化学品供销商 (2012年起)
chemBlink 标准供应商 (2012年起)
1-氯-3,5,7,9,11,13,15-七环戊基八倍半硅氧烷供应商总目录
基本信息
英文名 1-Chloro-3,5,7,9,11,13,15-heptacyclopentyloctasilsesquioxane
产品名称 1-氯-3,5,7,9,11,13,15-七环戊基八倍半硅氧烷
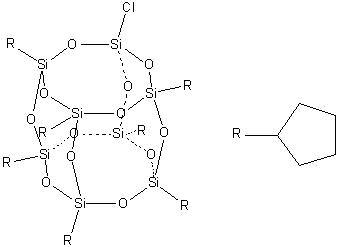
分子结构 CAS 登录号:216972-57-5, 1-氯-3,5,7,9,11,13,15-七环戊基八倍半硅氧烷
分子式 C35H63ClO12Si8
分子量 936.00
CAS 登录号 216972-57-5
物理化学性质
密度 1.26±0.1 g/cm3 (20 ºC 760 torr), 计算值*
* 使用计算软件 Advanced Chemistry Development (ACD/Labs) V11.02 (©1994-2015 ACD/Labs)
市场分析报告
请浏览1-氯-3,5,7,9,11,13,15-七环戊基八倍半硅氧烷市场分析报告总目录
相关产品
9-氯-2-(2-呋喃基)[1,2,4]三唑并[1,5-c]喹唑啉-5-胺  2-氯-N-呋喃甲基乙酰胺  4-氯呋喃并[3,2-c]吡啶  4-氯呋喃并[3,4-c]吡啶-3(1H)-酮  4-氯呋喃并[2,3-d]嘧啶  绿原酸  绿原酸半水合物  6-氯-9-beta-D-吡喃葡萄糖基-9H-嘌呤  6-氯芦竹碱  5-氯芦竹碱  2-氯七氟丙烷  1-氯庚烷  (±)-2-氯庚烷  7-氯-1-庚醇  7-氯-1-庚烯  6-氯-N2-庚基-1,3,5-三嗪-2,4-二胺  氯代十六烷  2-[2-[2-氯-3-[2-(1-十六烷基-1,3-二氢-3,3-二甲基-2H-吲哚-2-亚基)亚乙基]-1-环己烯-1-基]乙烯基]-1-十六烷基-3,3-二甲基-3H-吲哚鎓溴化物  三氯甲烷  氯甲脒盐酸盐