Online Database of Chemicals from Around the World

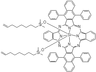
(OC-6-12)-Bis(dimethyl-7-octenylsilanolato)[8,13,24,29-tetraphenyl-33H,35H-dibenzo[b,l]dinaphtho[2,3-g:2',3'-q]porphyrazinato]silicon
[CAS# 183872-57-3]

Identification
Name (OC-6-12)-Bis(dimethyl-7-octenylsilanolato)[8,13,24,29-tetraphenyl-33H,35H-dibenzo[b,l]dinaphtho[2,3-g:2',3'-q]porphyrazinato]silicon
Molecular Structure CAS # 183872-57-3, (OC-6-12)-Bis(dimethyl-7-octenylsilanolato)[8,13,24,29-tetraphenyl-33H,35H-dibenzo[b,l]dinaphtho[2,3-g:2',3'-q]porphyrazinato]silicon
Molecular Formula C84H78N8O2Si3
Molecular Weight 1315.83
CAS Registry Number 183872-57-3
Market Analysis Reports
List of Reports Available for (OC-6-12)-Bis(dimethyl-7-octenylsilanolato)[8,13,24,29-tetraphenyl-33H,35H-dibenzo[b,l]dinaphtho[2,3-g:2',3'-q]porphyrazinato]silicon
Related Products
Oblongine  Obolactone  Obscurolide A1  Obtucarbamate A  Obtucarbamate B  Obtusin  (OC-6-22)-Bis(acetonitrile)tetrabromorhenium  (OC-6-22)-Bis(2,2'-bipyridine-N,N')[1,1'-[[2,2'-bipyridine]-4,4'-diylbis(carbonyloxy)]bis[2,5-pyrrolidinedione]]-ruthenium bis[hexafluorophosphate]  (OC-6-13)-Bis[3-[bis(1,1-dimethylethyl)phosphino]-1-propanamine]dichlororuthenium  (OC-6-31)-Bis(dibutylcarbamodithioato-S,S')(morpholine-N4,O1)zinc  (OC-6-12)-Bis(N,N-dimethyl-1,3-propanediamine-N')[2,3,16,17-tetrahydro-29H,31H-dibenzo[b,l]bis[1,4]dithiino[2,3-g:2',3'-q]porphyrazinato(2-)-N29,N30,N31,N32]cobalt  (OC-6-22)-[(3R)-4,4'-Bis(diphenylphosphino)-2,2',6,6'-tetramethoxy-3,3'-bipyridine]bis(2,4-pentanedionato)ruthenium  (OC-6-33)-Dichlorodihydroxybis(3-methyl-1-butanamine)platinum  (OC-6-13)-Dichloro(3-phenyl-1H-inden-1-ylidene)bis(pyridine)(tricyclohexylphosphine)ruthenium  (OC-6-11)-dihydrogen hexachloroplatinate reaction products with 2,4,6,8-tetraethenyl-2,4,6,8-tetramethylcyclotetrasiloxane  (OC-6-11)-Hexaammineruthenium(3+) trichloride reaction products with ammonium hydroxide  (OC-6-11)-Hexakis(1-propyl-1H-imidazole-N3)manganese dibromide  Ochinaflavone  Ochratoxins  (±)-Ochromycinone