Online Database of Chemicals from Around the World

Micafungin FR-179642 impurity (acid)
[CAS# 168110-44-9]

List of Suppliers
BrightGene Bio-medical Technology Co., Ltd. China Inquire  
+86 (512) 6255-1801
6255-1767
+86 13812696362
kevinwan@bright-gene.com
kevinwan0203@gmail.com
Skype Chat
QQ chat
Chemical manufacturer since 2001
chemBlink standard supplier since 2009
Sinfachem Limited China Inquire  
+86 (25) 8468-3399
8517-8591
sinfachem@foxmail.com
sinfachemltd@foxmail.com
info@sinfachem.com
QQ chat
Chemical manufacturer
chemBlink standard supplier since 2009
Taizhou Crene Biotechnology Co., Ltd. China Inquire  
+86 (576) 8881-3233
8820-5808
+86 13396860566
order@pharm-intermediates.com
QQ chat
Chemical manufacturer since 2011
chemBlink standard supplier since 2009
BOC Sciences USA Inquire  
+1 (631) 485-4226
info@bocsci.com
Chemical manufacturer
chemBlink standard supplier since 2010
Hangzhou Ich Biofarm Co., Ltd. China Inquire  
+86 (571) 2818-6870
specialchem1@ichemie.com
QQ chat
Chemical manufacturer since 2006
chemBlink standard supplier since 2011
Amadis Chemical Co., Ltd. China Inquire  
+86 (571) 8992-5085
sales@amadischem.com
Chemical manufacturer since 2010
chemBlink standard supplier since 2015
Changzhou Rich Chemical Co., Ltd. China Inquire  
+86 (519) 8881-2755
sales@lanlingchem.com
QQ chat
Chemical manufacturer since 2013
chemBlink standard supplier since 2015
Synthland Limited China Inquire  
+86 (755) 8333-1328
info@synthlandpharm.com
Chemical distributor since 2005
chemBlink standard supplier since 2016
Complete supplier list of Micafungin FR-179642 impurity (acid)
Identification
Classification API >> Synthetic anti-infective drugs >> Antifungal drugs
Name Micafungin FR-179642 impurity (acid)
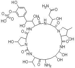
Synonyms [5-[(1S,2S)-2-[(3S,6S,9S,11R,15S,18S,20R,21R,24S,25S,26S)-18-amino-3-[(1R)-3-amino-1-hydroxy-3-oxopropyl]-11,20,21,25-tetrahydroxy-15-[(1R)-1-hydroxyethyl]-26-methyl-2,5,8,14,17,23-hexaoxo-1,4,7,13,16,22-hexazatricyclo[22.3.0.09,13]heptacosan-6-yl]-1,2-dihydroxyethyl]-2-hydroxyphenyl] hydrogen sulfate
Molecular Structure CAS # 168110-44-9, Micafungin FR-179642 impurity (acid), [5-[(1S,2S)-2-[(3S,6S,9S,11R,15S,18S,20R,21R,24S,25S,26S)-18-amino-3-[(1R)-3-amino-1-hydroxy-3-oxopropyl]-11,20,21,25-tetrahydroxy-15-[(1R)-1-hydroxyethyl]-26-methyl-2,5,8,14,17,23-hexaoxo-1,4,7,13,16,22-hexazatricyclo[22.3.0.09,13]heptacosan-6-yl]-1,2-dihydroxyethyl]-2-hydroxyphenyl] hydrogen sulfate
Molecular Formula C35H52N8O20S
Molecular Weight 936.90
CAS Registry Number 168110-44-9
EC Number 801-824-0
SMILES C[C@H]1CN2[C@@H]([C@H]1O)C(=O)N[C@@H]([C@@H](C[C@@H](C(=O)N[C@H](C(=O)N3C[C@@H](C[C@H]3C(=O)N[C@H](C(=O)N[C@H](C2=O)[C@@H](CC(=O)N)O)[C@@H]([C@H](C4=CC(=C(C=C4)O)OS(=O)(=O)O)O)O)O)[C@@H](C)O)N)O)O
Properties
Solubility Soluble (37 g/L) (25 ºC), Calc.*
Density 1.75±0.1 g/cm3 (20 ºC 760 Torr), Calc.*
Index of refraction 1.718 (Calc.)*
* Calculated using Advanced Chemistry Development (ACD/Labs) Software.
Safety Data
Hazard Symbols symbol   GHS08 Warning    Details
Hazard Statements H361    Details
Precautionary Statements P201-P202-P281-P308+P313-P405-P501    Details
Hazard Classification
up    Details
HazardClassCategory CodeHazard Statement
Skin irritationSkin Irrit.2H315
Chronic hazardous to the aquatic environmentAquatic Chronic3H412
Specific target organ toxicity - single exposureSTOT SE3H335
Eye irritationEye Irrit.2H319
Reproductive toxicityRepr.2H361
SDS Available
up Discovory and Applicatios
Micafungin FR-179642 impurity (acid), with the molecular formula C35H52N8O20S and CAS number 168110-44-9, is a key impurity associated with micafungin, an echinocandin antifungal drug. This compound, also referred to as FR-179642, is the cyclic polypeptide nucleus of micafungin, formed during its synthesis or degradation. It is recognized in pharmaceutical chemistry for its role in quality control and impurity profiling of micafungin, which is used to treat invasive fungal infections. Its discovery and applications are well-documented in the literature, stemming from the development of echinocandin antifungals and analytical methods for drug purity.

The discovery of micafungin FR-179642 impurity (acid) is tied to the development of micafungin, a semi-synthetic lipopeptide derived from the fermentation product of Coleophoma empetri, introduced by Fujisawa Pharmaceutical (now Astellas) in the 1990s. Micafungin was approved in 2005 for treating candidemia, esophageal candidiasis, and prophylaxis of Candida infections. During its synthesis, researchers identified FR-179642 as a critical intermediate and potential impurity, formed by hydrolysis of micafungin’s side chain, specifically the 4-(5-(4-(pentyloxy)phenyl)isoxazol-3-yl)benzamide group. This hydrolysis occurs under acidic or basic conditions during fermentation, purification, or storage, yielding the cyclic polypeptide core. The impurity was characterized in the 1990s using NMR and mass spectrometry, driven by the need to ensure drug safety and efficacy under regulatory standards. Its identification built on advances in high-performance liquid chromatography (HPLC) and forced degradation studies, which revealed its presence in trace amounts in micafungin formulations.

Synthetically, FR-179642 is produced during the fermentation of Coleophoma empetri in a nutrient-rich medium with glucose and amino acids. The fungus generates pneumocandin A0, which is chemically modified to form micafungin. FR-179642, chemically 1-[(4R,5R)-4,5-dihydroxy-L-ornithine]-4-[(4S)-4-hydroxy-4-[4-hydroxy-3-(sulfooxy)phenyl]-L-threonine]pneumocandin A0, is isolated as a by-product when the side chain is cleaved, often during purification or under hydrolytic conditions. It can also be synthesized by controlled hydrolysis of micafungin, using acidic or basic aqueous solutions to remove the lipophilic side chain, followed by extraction and purification via reverse-phase chromatography. These processes rely on established protocols in echinocandin synthesis and peptide chemistry, ensuring high purity for use as a reference standard in quality control.

The primary application of micafungin FR-179642 impurity (acid) is in pharmaceutical quality control and analytical testing. As an impurity, it is monitored to ensure micafungin meets regulatory standards set by the United States Pharmacopeia and International Council for Harmonisation (ICH). Its presence in trace amounts can contribute to hemolytic activity, potentially affecting drug safety, making its quantification critical. HPLC methods, developed by 2013, use columns like Agilent Zorbax SB-C18 to separate FR-179642 from micafungin and other impurities, achieving detection limits of 0.006–0.013% and recovery rates of 98.2–102.0%, validated for specificity, linearity, and robustness. These methods are stability-indicating, confirming FR-179642’s formation under stress conditions like acidic hydrolysis. The impurity is supplied by companies like Clearsynth and SimSon Pharma as a reference standard for method development and drug testing.

In academic research, FR-179642 is studied to understand micafungin’s degradation pathways and impurity profiles, aiding in the optimization of synthesis and storage conditions. Its structure, lacking the lipophilic side chain, provides insights into the role of the cyclic polypeptide in antifungal activity, which targets 1,3-beta-D-glucan synthase in fungal cell walls. The impurity’s significance lies in its role as a marker for ensuring micafungin’s purity and safety, reflecting progress in analytical chemistry and echinocandin development.

References

2006. Micafungin. Pharmaceutical Substances.

2013. Development and Validation of a Stability-Indicating High Performance Liquid Chromatographic (HPLC) Method for the Determination of Related Substances of Micafungin Sodium. Scientia Pharmaceutica, 81(4).
DOI: 10.3797/scipharm.1305-03

2018. Deciphering the late steps of rifamycin biosynthesis. Nature Communications, 9(1).
DOI: 10.1038/s41467-018-04772-x
Market Analysis Reports
List of Reports Available for Micafungin FR-179642 impurity (acid)
Related Products
MG 132  MGCD-265  Mianserin hydrochloride  Mibampator  Mibefradil  Mibefradil dihydrochloride  Mibolerone  Miboplatin  Mica  Micafungin  Micafungin sodium  Michelia Oil  Micheliolide  Miconazole  Miconazole EP Impurity G  Miconazole nitrate  Micranoic acid A  Microcolin B  Micromelin  Micronomicin sulfate