Online Database of Chemicals from Around the World

Polygalaxanthone III
[CAS# 162857-78-5]

List of Suppliers
BOC Sciences USA Inquire  
+1 (631) 485-4226
info@bocsci.com
Chemical manufacturer
chemBlink standard supplier since 2010
Aktin Chemicals Inc China Inquire  
+86 400-028-7725
info@aktinchem.com
QQ chat
Chemical manufacturer
chemBlink standard supplier since 2011
Hangzhou Leap Chem Co., Ltd. China Inquire  
+86 (571) 8771-1850
market19@leapchem.com
QQ chat
Chemical manufacturer since 2006
chemBlink standard supplier since 2015
Chengdu Biopurify Phytochemicals Ltd. China Inquire  
+86 (28) 8263-3860
8263-3987
sales@biopurify.com
biopurify@gmail.com
Skype Chat
QQ chat
Chemical manufacturer
chemBlink standard supplier since 2017
Neostar United (Changzhou) Industrial Co., Ltd. China Inquire  
+86 (519) 8555-7386
+86 18015025600
marketing1@neostarunited.com
Chemical distributor since 2014
chemBlink standard supplier since 2020
Complete supplier list of Polygalaxanthone III
Identification
Classification Biochemical >> Plant extracts
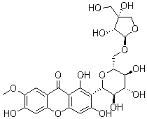
Name Polygalaxanthone III
Synonyms 2-(6-O-D-Apio-beta-D-furanosyl-beta-D-glucopyranosyl)-1,3,6-trihydroxy-7-methoxy-9H-xanthen-9-one
Molecular Structure CAS # 162857-78-5, Polygalaxanthone III, 2-(6-O-D-Apio-beta-D-furanosyl-beta-D-glucopyranosyl)-1,3,6-trihydroxy-7-methoxy-9H-xanthen-9-one
Molecular Formula C25H28O15
Molecular Weight 568.48
CAS Registry Number 162857-78-5
Properties
Density 1.83
Melting point 180-183 ºC
Safety Data
SDS Available
Market Analysis Reports
List of Reports Available for Polygalaxanthone III
Related Products
Polyethylenepolypropylene glycol allyl methyl ether  Poly(ethylene succinate)  Polyethylenimine  Poly[[[(2-ethylhexyl)oxy]methoxy-1,4-phenylene]-1,2-ethenediyl-1,4-phenylene-1,2-ethenediyl]  Polygalacic acid  Polygalacin D  Polygalasaponin B  Polygalasaponin F  Polygalasaponin V  Polygalasaponin XXXII  Polygalaxanthone XI  Polygalic acid  Poly-gamma-L-glutamic acid sodium salt  Poly(ethylene glycol)  Polyethylene glycol adipate  Polyethylene glycol bis(2-carboxyethyl) ether  Poly(ethylene glycol) bis(carboxymethyl) ether  Poly(ethylene glycol) bis(p-dimethylaminobenzoate)  Poly(ethylene glycol) butyl ether  Polyethylene glycol cetyl ether