| 成都健腾生物技术有限公司 | 中国 | 询价快递 | ||
|---|---|---|---|---|
![]() |
+86 400-028-7725 | |||
![]() |
info@aktinchem.com | |||
![]() |
QQ 交谈 | |||
| 化学品生产商 | ||||
| chemBlink 标准供应商 (2011年起) | ||||
| 成都普瑞法科技开发有限公司 | 中国 | 询价快递 | ||
|---|---|---|---|---|
![]() |
+86 (28) 8263-3860 8263-3987 | |||
![]() |
sales@biopurify.com biopurify@gmail.com | |||
![]() |
QQ 交谈 | |||
![]() |
Skype 聊天 | |||
| 化学品生产商 | ||||
| chemBlink 标准供应商 (2017年起) | ||||
| 常州新星联生物科技有限公司 | 中国 | 询价快递 | ||
|---|---|---|---|---|
![]() |
+86 (519) 8555-7386 +86 18015025600 | |||
![]() |
marketing1@neostarunited.com | |||
| 化学品供销商 (2014年起) | ||||
| chemBlink 标准供应商 (2020年起) | ||||
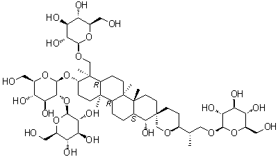
| 英文名 | Hosenkoside K |
|---|---|
| 产品名称 | 凤仙萜四醇苷 K |
| 分子结构 | ![]() |
| 分子式 | C54H92O25 |
| 分子量 | 1141.29 |
| CAS 登录号 | 160896-49-1 |
| 溶解度 | 几乎不溶 (0.022 g/L) (25 ºc), 计算值* |
|---|---|
| 密度 | 1.50±0.1 g/cm3 (20 ºc 760 torr), 计算值* |
| * | 使用计算软件 Advanced Chemistry Development (ACD/Labs) V11.02 (©1994-2015 ACD/Labs) |
| 市场分析报告 |
| 请浏览凤仙萜四醇苷 K市场分析报告总目录 |