Online Database of Chemicals from Around the World

12-Hydroxy-9-octadecenoic acid 1,2,3-propanetriyl ester
[CAS# 15505-14-3]

List of Suppliers
BOC Sciences USA Inquire  
+1 (631) 485-4226
info@bocsci.com
Chemical manufacturer
chemBlink standard supplier since 2010
Alfa Chemistry USA Inquire  
+1 (201) 478-8534
inquiry@alfa-chemistry.com
Chemical distributor since 2012
chemBlink standard supplier since 2012
Complete supplier list of 12-Hydroxy-9-octadecenoic acid 1,2,3-propanetriyl ester
Identification
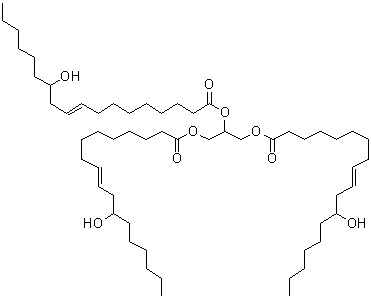
Name 12-Hydroxy-9-octadecenoic acid 1,2,3-propanetriyl ester
Molecular Structure CAS # 15505-14-3, 12-Hydroxy-9-octadecenoic acid 1,2,3-propanetriyl ester
Molecular Formula C57H104O9
Molecular Weight 933.43
CAS Registry Number 15505-14-3
Properties
Solubility Insoluble (1.0E-7 g/L) (25 ºC), Calc.*
Density 0.977±0.06 g/cm3 (20 ºC 760 Torr), Calc.*
* Calculated using Advanced Chemistry Development (ACD/Labs) Software V11.02 (©1994-2015 ACD/Labs)
Market Analysis Reports
List of Reports Available for 12-Hydroxy-9-octadecenoic acid 1,2,3-propanetriyl ester
Related Products
17-Hydroxy-19-nor-17alpha-pregn-4-en-20-yn-3-one octanoate  3-Hydroxy-DL-norvaline  delta-Hydroxynorvaline  5-Hydroxy-D-norvaline  (5S,6E,8Z)-5-Hydroxy-6,8-octadecadienoic acid  5-Hydroxyoctadecanoic acid lactone  [R-(Z)]-(12-Hydroxy-9-octadecenoato-O1)oxo-aluminum  (9Z,12R)-12-Hydroxy-9-octadecenoic acid compd. with 2,2'-iminobis[ethanol] (1:1)  (9Z,12R)-12-Hydroxy-9-octadecenoic acid isooctadecyl ester  (9Z,12R)-12-Hydroxy-9-octadecenoic acid octyl ester  5-Hydroxy-4-[2-(1,2,3,4,4a,7,8,8a-octahydro-1,2,4a,5-tetramethyl-7-oxo-1-naphthalenyl)ethyl]-2(5H)-furanone  5-Hydroxy-4-octanone  trans-4-Hydroxy-2-octenal  8-Hydroxyodoroside A  3-Hydroxy-12-oleanene-23,28-dioic acid  3beta-Hydroxyolean-12-en-27-oic acid  3-beta-Hydroxy-olean-12-en-28-oic acid butyrate  3-beta-Hydroxy-olean-12-en-28-oic acid propionate  5'-Hydroxyomeprazole  (2R,5R)-5-Hydroxy-1,3-oxathiolane-2-carboxylic acid (1R,2S,5R)-5-methyl-2-(1-methylethyl)cyclohexyl ester