Online Database of Chemicals from Around the World

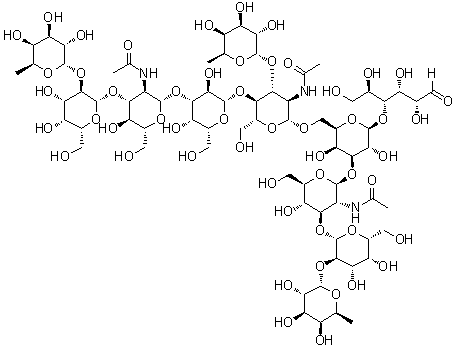
O-6-脱氧-alpha-L-吡喃半乳糖基-(1→3)-O-[O-6-脱氧-alpha-L-吡喃半乳糖基-(1→2)-O-beta-D-吡喃半乳糖基-(1→3)-O-2-(乙酰氨基)-2-脱氧-beta-D-吡喃葡萄糖基-(1→3)-beta-D-吡喃半乳糖基-(1→4)]-O-2-(乙酰氨基)-2-脱氧-beta-D-吡喃葡萄糖基-(1→6)-O-[O-6-脱氧-alpha-L-吡喃半乳糖基-(1→2)-O-beta-D-吡喃半乳糖基-(1→3)-2-(乙酰氨基)-2-脱氧-beta-D-吡喃葡萄糖基-(1→3)]-O-beta-D-吡喃半乳糖基-(1→4)-D-葡萄糖
[CAS# 141342-93-0]

基本信息
英文名 O-6-Deoxy-alpha-L-galactopyranosyl-(1→3)-O-[O-6-deoxy-alpha-L-galactopyranosyl-(1→2)-O-beta-D-galactopyranosyl-(1→3)-O-2-(acetylamino)-2-deoxy-beta-D-glucopyranosyl-(1→3)-beta-D-galactopyranosyl-(1→4)]-O-2-(acetylamino)-2-deoxy-beta-D-glucopyranosyl-(1→6)-O-[O-6-deoxy-alpha-L-galactopyranosyl-(1→2)-O-beta-D-galactopyranosyl-(1→3)-2-(acetylamino)-2-deoxy-beta-D-glucopyranosyl-(1→3)]-O-beta-D-galactopyranosyl-(1→4)-D-glucose
产品名称 O-6-脱氧-alpha-L-吡喃半乳糖基-(1→3)-O-[O-6-脱氧-alpha-L-吡喃半乳糖基-(1→2)-O-beta-D-吡喃半乳糖基-(1→3)-O-2-(乙酰氨基)-2-脱氧-beta-D-吡喃葡萄糖基-(1→3)-beta-D-吡喃半乳糖基-(1→4)]-O-2-(乙酰氨基)-2-脱氧-beta-D-吡喃葡萄糖基-(1→6)-O-[O-6-脱氧-alpha-L-吡喃半乳糖基-(1→2)-O-beta-D-吡喃半乳糖基-(1→3)-2-(乙酰氨基)-2-脱氧-beta-D-吡喃葡萄糖基-(1→3)]-O-beta-D-吡喃半乳糖基-(1→4)-D-葡萄糖
分子结构 CAS 登录号:141342-93-0, O-6-脱氧-alpha-L-吡喃半乳糖基-(1→3)-O-[O-6-脱氧-alpha-L-吡喃半乳糖基-(1→2)-O-beta-D-吡喃半乳糖基-(1→3)-O-2-(乙酰氨基)-2-脱氧-beta-D-吡喃葡萄糖基-(1→3)-beta-D-吡喃半乳糖基-(1→4)]-O-2-(乙酰氨基)-2-脱氧-beta-D-吡喃葡萄糖基-(1→6)-O-[O-6-脱氧-alpha-L-吡喃半乳糖基-(1→2)-O-beta-D-吡喃半乳糖基-(1→3)-2-(乙酰氨基)-2-脱氧-beta-D-吡喃葡萄糖基-(1→3)]-O-beta-D-吡喃半乳糖基-(1→4)-D-葡萄糖
分子式 C72H121N3O53
分子量 1876.72
CAS 登录号 141342-93-0
物理化学性质
密度 1.74±0.1 g/cm3 (20 ºC 760 torr), 计算值*
* 使用计算软件 Advanced Chemistry Development (ACD/Labs) V11.02 (©1994-2016 ACD/Labs)
市场分析报告
请浏览O-6-脱氧-alpha-L-吡喃半乳糖基-(1→3)-O-[O-6-脱氧-alpha-L-吡喃半乳糖基-(1→2)-O-beta-D-吡喃半乳糖基-(1→3)-O-2-(乙酰氨基)-2-脱氧-beta-D-吡喃葡萄糖基-(1→3)-beta-D-吡喃半乳糖基-(1→4)]-O-2-(乙酰氨基)-2-脱氧-beta-D-吡喃葡萄糖基-(1→6)-O-[O-6-脱氧-alpha-L-吡喃半乳糖基-(1→2)-O-beta-D-吡喃半乳糖基-(1→3)-2-(乙酰氨基)-2-脱氧-beta-D-吡喃葡萄糖基-(1→3)]-O-beta-D-吡喃半乳糖基-(1→4)-D-葡萄糖市场分析报告总目录
相关产品
2'-脱氧-5-甲酰基胞苷  1-脱氧福斯克林  N-(1-脱氧-D-果糖-1-基)-L-丝氨酸  1-脱氧-D-半乳糖醇  6-脱氧-beta-L-半乳糖 1-磷酸酯  6-脱氧-L-吡喃半乳糖 1-(磷酸二氢酯)二钠盐  6-脱氧-beta-D-吡喃半乳糖四乙酸酯  6-脱氧-alpha-D-吡喃半乳糖四乙酸酯  6-脱氧-beta-L-半乳糖 2,3,4-三乙酸酯 1-[双(苄基)磷酸酯]  6-脱氧-alpha-L-吡喃半乳糖胺  O-6-脱氧-alpha-L-吡喃半乳糖基-(1→3)-O-[beta-D-吡喃半乳糖基-(1→4)]-O-2-(乙酰氨基)-2-脱氧-beta-D-吡喃葡萄糖基-(1→6)-O-[O-6-脱氧-alpha-L-吡喃半乳糖基-(1→4)-O-[beta-D-吡喃半乳糖基-(1→3)]-2-(乙酰氨基)-2-脱氧-beta-D-吡喃葡萄糖基-(1→3)]-O-beta-D-吡喃半乳糖基-(1→4)-alpha-D-吡喃葡萄糖  O-6-脱氧-alpha-L-吡喃半乳糖基-(1→4)-O-[beta-D-吡喃半乳糖基-(1→3)]-O-2-(乙酰氨基)-2-脱氧-beta-D-吡喃葡萄糖基-(1→3)-O-beta-D-吡喃半乳糖基-(1→4)-O-2-(乙酰氨基)-2-脱氧-beta-D-吡喃葡萄糖基-(1→3)-O-beta-D-吡喃半乳糖基-(1→4)-D-葡萄糖  O-6-脱氧-alpha-L-吡喃半乳糖基-(1→2)-O-beta-D-吡喃半乳糖基-(1→4)-O-2-(乙酰氨基)-2-脱氧-beta-D-吡喃葡萄糖基-(1→3)-O-[O-beta-D-吡喃半乳糖基-(1→4)-2-(乙酰氨基)-2-脱氧-beta-D-吡喃葡萄糖基-(1→6)]-O-beta-D-吡喃半乳糖基-(1→4)-D-葡萄糖  O-6-脱氧-alpha-L-吡喃半乳糖基-(1→6)-O-[O-beta-D-吡喃半乳糖基-(1→3)-O-2-(乙酰氨基)-2-脱氧-beta-D-吡喃葡萄糖基-(1→4)-O-[O-beta-D-吡喃半乳糖基-(1→4)-2-(乙酰氨基)-2-脱氧-beta-D-吡喃葡萄糖基-(1→2)]-O-alpha-D-甘露糖基-(1→3)-O-[O-beta-D-吡喃半乳糖基-(1→4)-O-2-(乙酰氨基)-2-脱氧-beta-D-吡喃葡萄糖基-(1→2)-alpha-D-甘露糖基-(1→6)]-O-beta-D-甘露糖基-(1→4)-2-(乙酰氨基)-2-脱氧-beta-D-吡喃葡萄糖基-(1→4)]-2-(乙酰氨基)-2-脱氧-D-葡萄糖  O-6-脱氧-alpha-L-吡喃半乳糖基-(1→2)-O-beta-D-吡喃半乳糖基-(1→4)-O-2-(乙酰氨基)-2-脱氧-beta-D-吡喃葡萄糖基-(1→3)-O-beta-D-吡喃半乳糖基-(1→4)-D-葡萄糖  O-6-脱氧-alpha-L-吡喃半乳糖基-(1→2)-O-beta-D-吡喃半乳糖基-(1→4)-O-2-(乙酰氨基)-2-脱氧-beta-D-吡喃葡萄糖基-(1→4)-D-半乳糖  9-[[O-6-脱氧-alpha-L-吡喃半乳糖基-(1→4)-O-[beta-D-吡喃半乳糖基-(1→3)]-2-(乙酰氨基)-2-脱氧-beta-D-吡喃葡萄糖基]氧基]壬酸甲酯  (3aS,4S,6aR)-N-[6-[[3-[[O-6-脱氧-alpha-L-吡喃半乳糖基-(1→2)-O-beta-D-吡喃半乳糖基-(1→4)-2-(乙酰氨基)-2-脱氧-beta-D-吡喃葡萄糖基]氧基]丙基]氨基]-6-氧代己基]六氢-2-氧代-1H-噻吩并[3,4-d]咪唑-4-戊酰胺  (3aS,4S,6aR)-N-[6-[[3-[[O-6-脱氧-alpha-L-吡喃半乳糖基-(1→4)-O-[beta-D-吡喃半乳糖基-(1→3)]-2-(乙酰氨基)-2-脱氧-beta-D-吡喃葡萄糖基]氧基]丙基]氨基]-6-氧代己基]六氢-2-氧代-1H-噻吩并[3,4-d]咪唑-4-戊酰胺  O-6-脱氧-beta-L-吡喃半乳糖基-(1→2)-O-beta-D-吡喃半乳糖基-(1→3)-2-(乙酰氨基)-2-脱氧-D-葡萄糖