Online Database of Chemicals from Around the World

(3beta,12beta,20R)-12,20,25-Trihydroxydammaran-3-yl beta-D-glucopyranoside
[CAS# 1370040-12-2]

List of Suppliers
CAS: 1370040-12-2
Product: (3beta,12beta,20R)-12,20,25-Trihydroxydammaran-3-yl beta-D-glucopyranoside
No suppilers available.
Identification
Name (3beta,12beta,20R)-12,20,25-Trihydroxydammaran-3-yl beta-D-glucopyranoside
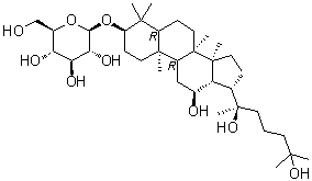
Molecular Structure CAS # 1370040-12-2, (3beta,12beta,20R)-12,20,25-Trihydroxydammaran-3-yl beta-D-glucopyranoside
Molecular Formula C36H64O9
Molecular Weight 640.89
CAS Registry Number 1370040-12-2
Properties
Solubility Insoluble (1.1E-3 g/L) (25 ºC), Calc.*
Density 1.22±0.1 g/cm3 (20 ºC 760 Torr), Calc.*
* Calculated using Advanced Chemistry Development (ACD/Labs) Software V11.02 (©1994-2015 ACD/Labs)
Market Analysis Reports
List of Reports Available for (3beta,12beta,20R)-12,20,25-Trihydroxydammaran-3-yl beta-D-glucopyranoside
Related Products
Trihydroxymethylpropyl ester with decanoic acid and octanoic acid  7,3',4'-Trihydroxy-3-benzyl-2H-chromene  2,3,4-Trihydroxybenzylhydrazine  3,3',5-Trihydroxybiphenyl  (3beta,5beta)-3,14,19-Trihydroxybufa-20,22-dienolide  2',4',6'-Trihydroxychalcone  3,4,5-Trihydroxycinnamic acid  6alpha,16,18-Trihydroxycleroda-3,13-dien-15,16-olide  4,5,7-Trihydroxycoumarin  Trihydroxycuprate  (3beta,12beta,20S)-Trihydroxydammar-24-ene 20-O-[alpha-rhamnopyranosyl-(1→2)]-beta-glucopyranoside  (3beta,6alpha,12beta,20Z)-3,12,25-Trihydroxydammar-20(22)-en-6-yl 2-O-(6-deoxy-alpha-L-mannopyranosyl)-beta-D-glucopyranoside  (3beta,6alpha,12beta,20E)-3,12,25-Trihydroxydammar-20(22)-en-6-yl 2-O-6-deoxy-alpha-L-mannopyranosyl-beta-D-glucopyranoside  5,7,4'-Trihydroxy-3,6-dimethoxy-3',5'-diprenylflavone  5,3',4'-Trihydroxy-3,7-dimethoxyflavone  5,7,4'-Trihydroxy-3,6-dimethoxyflavone  5,2',6'-Trihydroxy-7,8-dimethoxyflavone  3,4',5-Trihydroxy-6,7-dimethoxyflavone  2,3,4'-Trihydroxy-3',5'-dimethoxypropiophenone  7,9,12-Trihydroxy-2,2-dimethyl-2H,6H-pyrano[3,2-b]xanthen-6-one