Online Database of Chemicals from Around the World

O-3,6-Anhydro-alpha-D-galactopyranosyl-(1→3)-O-4-O-sulfo-beta-D-galactopyranosyl-(1→4)-O-3,6-anhydro-alpha-D-galactopyranosyl-(1→3)-O-4-O-sulfo-beta-D-galactopyranosyl-(1→4)-O-3,6-anhydro-alpha-D-galactopyranosyl-(1→3)-O-4-O-sulfo-beta-D-galactopyranosyl-(1→4)-O-3,6-anhydro-alpha-D-galactopyranosyl-(1→3)-O-4-O-sulfo-beta-D-galactopyranosyl-(1→4)-O-3,6-anhydro-alpha-D-galactopyranosyl-(1→3)-D-galactose 4-(hydrogen sulfate) pentasodium salt
[CAS# 133628-75-8]

Identification
Name O-3,6-Anhydro-alpha-D-galactopyranosyl-(1→3)-O-4-O-sulfo-beta-D-galactopyranosyl-(1→4)-O-3,6-anhydro-alpha-D-galactopyranosyl-(1→3)-O-4-O-sulfo-beta-D-galactopyranosyl-(1→4)-O-3,6-anhydro-alpha-D-galactopyranosyl-(1→3)-O-4-O-sulfo-beta-D-galactopyranosyl-(1→4)-O-3,6-anhydro-alpha-D-galactopyranosyl-(1→3)-O-4-O-sulfo-beta-D-galactopyranosyl-(1→4)-O-3,6-anhydro-alpha-D-galactopyranosyl-(1→3)-D-galactose 4-(hydrogen sulfate) pentasodium salt
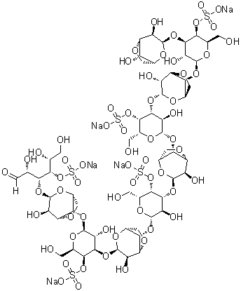
Molecular Structure CAS # 133628-75-8, O-3,6-Anhydro-alpha-D-galactopyranosyl-(1→3)-O-4-O-sulfo-beta-D-galactopyranosyl-(1→4)-O-3,6-anhydro-alpha-D-galactopyranosyl-(1→3)-O-4-O-sulfo-beta-D-galactopyranosyl-(1→4)-O-3,6-anhydro-alpha-D-galactopyranosyl-(1→3)-O-4-O-sulfo-beta-D-galactopyranosyl-(1→4)-O-3,6-anhydro-alpha-D-galactopyranosyl-(1→3)-O-4-O-sulfo-beta-D-galactopyranosyl-(1→4)-O-3,6-anhydro-alpha-D-galactopyranosyl-(1→3)-D-galactose 4-(hydrogen sulfate) pentasodium salt
Molecular Formula C60H87O61S5Na5
Molecular Weight 2059.58
CAS Registry Number 133628-75-8
Market Analysis Reports
List of Reports Available for O-3,6-Anhydro-alpha-D-galactopyranosyl-(1→3)-O-4-O-sulfo-beta-D-galactopyranosyl-(1→4)-O-3,6-anhydro-alpha-D-galactopyranosyl-(1→3)-O-4-O-sulfo-beta-D-galactopyranosyl-(1→4)-O-3,6-anhydro-alpha-D-galactopyranosyl-(1→3)-O-4-O-sulfo-beta-D-galactopyranosyl-(1→4)-O-3,6-anhydro-alpha-D-galactopyranosyl-(1→3)-O-4-O-sulfo-beta-D-galactopyranosyl-(1→4)-O-3,6-anhydro-alpha-D-galactopyranosyl-(1→3)-D-galactose 4-(hydrogen sulfate) pentasodium salt
Related Products
2,5-Anhydro-1,3,4-trideoxy-2-C-(2,4-difluorophenyl)-4-[[[(4-methylphenyl)sulfonyl]oxy]methyl]-1-(1H-1,2,4-triazol-1-yl)-D-erythro-pentitol  1,5-Anhydro-2,3,4-trideoxy-2-[[(1,1-dimethylethoxy)carbonyl]amino]-D-threo-hexitol  2,5-Anhydro-1-O-triphenylmethyl-D-mannitol  Anhydrotuberosin  3-O-(3,6-Anhydro-alpha-D-galactopyranosyl)-beta-D-galactopyranose  3-O-(3,6-Anhydro-alpha-D-galactopyranosyl)-D-galactopyranose 4-(hydrogen sulfate) monosodium salt  O-3,6-Anhydro-alpha-D-galactopyranosyl-(1→3)-O-beta-D-galactopyranosyl-(1→4)-O-3,6-anhydro-alpha-D-galactopyranosyl-(1→3)-D-galactose 4-(hydrogen sulfate) monosodium salt  O-3,6-Anhydro-alpha-D-galactopyranosyl-(1→3)-O-4-O-sulfo-beta-D-galactopyranosyl-(1→4)-O-3,6-anhydro-alpha-D-galactopyranosyl-(1→3)-D-galactose 4-(hydrogen sulfate) disodium salt  [O-3,6-Anhydro-alpha-D-galactopyranosyl-(1→3)-O-4-O-sulfo-beta-D-galactopyranosyl-(1→4)]7-O-3,6-anhydro-alpha-D-galactopyranosyl-(1→3)-D-galactose 4-(hydrogen sulfate) sodium salt  O-3,6-Anhydro-alpha-D-galactopyranosyl-(1→3)-O-4-O-sulfo-beta-D-galactopyranosyl-(1→4)-O-3,6-anhydro-alpha-D-galactopyranosyl-(1→3)-O-4-O-sulfo-beta-D-galactopyranosyl-(1→4)-O-3,6-anhydro-alpha-D-galactopyranosyl-(1→3)-D-galactose 4-(hydrogen sulfate) trisodium salt  1,6-Anhydro-beta-D-galactose  2,5-Anhydro-D-glucitol  1,4-Anhydro-D-glucitol 3,5,6-triacetate  1,5-Anhydro-alpha-D-glucofuranose  1,6-Anhydro-beta-D-glucofuranose  1,6-Anhydro-beta-D-glucopyranose  1,6-Anhydro-beta-D-glucopyranose 2-(4-methylbenzenesulfonate)  1,6-Anhydro-4-O-alpha-D-glucopyranosyl-D-glucopyranose  2,6-Anhydro-D-glycero-L-manno-heptononitrile 3,4,5,7-tetrabenzoate  1-[2,5-Anhydro-4-C-(hydroxymethyl)-alpha-L-arabinofuranosyl]-2,4(1H,3H)-pyrimidinedione