Online Database of Chemicals from Around the World

烟曲霉毒素 B1-13C34
[CAS# 1217458-62-2]

供应商目录
Sigma-Aldrich, Inc. 中国 询价快递  
+86 (21) 6141-5566
800-819-3336
orderCN@sial.com
化学品生产商 (1992年起)
chemBlink 标准供应商 (2013年起)
烟曲霉毒素 B1-13C34供应商总目录
基本信息
产品分类 分析化学 >> 标准品 >> 食品和化妆品标准品
英文名 Fumonisin B1-13C34
产品名称 烟曲霉毒素 B1-13C34
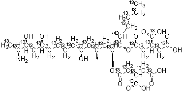
分子结构 CAS 登录号:1217458-62-2, 烟曲霉毒素 B1-<sup>13</sup>C<sub>34</sub>
分子式 C34H59NO15
分子量 721.83
CAS 登录号 1217458-62-2
EC 号码 808-555-8
安全数据
危害分类
up    说明
危害分类类别码危害标签
致癌性Carc.2H351
市场分析报告
请浏览烟曲霉毒素 B1-13C34市场分析报告总目录
相关产品
GS 7340 富马酸盐  F13714富马酸盐  富马酸  富马酸二(2-氨基乙基)酯二盐酸盐  富马酸二(2-溴乙基)酯  反丁烯二酰氯  烟曲霉文  烟曲酶毒素 C  烟曲霉毒素 B3  烟曲霉毒素 B1  伏马菌素 B2  beta-富纳曲胺盐酸盐  Funapide  真菌淀粉酶  蔗果四糖  海萝胶  4-(3-氟苯基)-2,4-二氢-2,5-二甲基-3H-1,2,4-三唑-3-酮  N-(3-氟-5,6,7,8-四氢-4-甲基-8-氧代-1-萘基)-乙酰胺  (2R,7aS)-2-氟四氢-1H-吡咯里嗪-7a(5H)-甲醇盐酸盐(1:1)  盐酸氟哌噻吨