Online Database of Chemicals from Around the World

Aranorosine
[CAS# 117184-53-9]

供应商目录
Glentham Life Sciences 英国 询价快递  
+44 (2033) 978-798
info@glenthamls.com
化学品供销商 (2013年起)
chemBlink 标准供应商 (2013年起)
IRIS Biotech GmbH 德国 询价快递  
+49 (9231) 961-973
info@iris-biotech.de
化学品生产商 (1788年起)
Aranorosine供应商总目录
基本信息
英文名 Aranorosine
别名 Aranorosin
产品名称 Aranorosine
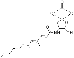
分子结构 CAS 登录号:117184-53-9, Aranorosine
分子式 C23H33NO6
分子量 419.51
CAS 登录号 117184-53-9
物理化学性质
溶解度 几乎不溶 (0.015 g/L) (25 ºC), 计算值*
密度 1.23±0.1 g/cm3 (20 ºC 760 torr), 计算值*
* 使用计算软件 Advanced Chemistry Development (ACD/Labs) V11.02 (©1994-2013 ACD/Labs)
市场分析报告
请浏览Aranorosine市场分析报告总目录
相关产品
D-(+)-阿拉伯糖醇  L-(-)-阿拉伯糖醇  花生四烯酸  花生四烯酸乙酯  花生四烯酰乙醇胺  阿糖肌苷  Aramchol  阿雷西霉素  Araneosol  阿雷地平  阿贝卡星  阿贝卡星硫酸盐  阿比朵尔  盐酸阿比朵尔  山小橘碱  alpha-熊果苷  熊果苷  洋杨梅提取物  AR-C 155858  牛蒡子苷元