Online Database of Chemicals from Around the World

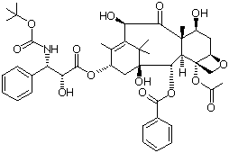
Docetaxel
[CAS# 114977-28-5]

List of Suppliers
Shanghai Biosundrug Science & Technology Co., Ltd. China Inquire  
+86 (21) 3462-2192
fy@biosundrug.com
Chemical manufacturer since 2004
chemBlink standard supplier since 2006
Shanghai Techwell Biopharmaceutical Co., Ltd. China Inquire  
+86 (21) 5483-1973
sales@techwell-cn.com
Chemical manufacturer since 2001
chemBlink standard supplier since 2006
Shenzhen Salubris Pharmaceuticals Co., Ltd. China Inquire  
+86 (755) 8386-7888
jtong@salubris.com
Chemical manufacturer
chemBlink standard supplier since 2007
Biocompounds Pharmaceutical Inc. China Inquire  
+86 (21) 5768-7675
sales@biocompounds.com
info@biocompounds.com
QQ chat
Chemical manufacturer since 2003
chemBlink standard supplier since 2007
Asia Talent Chemical Limited China Inquire  
+86 (755) 8665-5561
jeffreyxu@atchem.net
sinochemxu@hotmail.com
asiatalentchem@gmail.com
Skype Chat
QQ chat
Chemical manufacturer
chemBlink standard supplier since 2007
Fujian South Pharmaceutical Co., Ltd. China Inquire  
+86 (598) 286-0412
+86 13509335186
sales@southpharma.com
QQ chat
Chemical manufacturer since 2001
chemBlink standard supplier since 2008
Simagchem Corporation China Inquire  
+86 13806087780
sale@simagchem.com
Chemical manufacturer since 2002
chemBlink standard supplier since 2008
Changzhou Hangyu Pharmaceutical Technology Co., Ltd. China Inquire  
+86 (519) 8880-2789
+86 13961196887
sales@czyys.com
zypharm78@hotmail.com
Chemical manufacturer since 1984
chemBlink standard supplier since 2008
Complete supplier list of Docetaxel
Identification
Classification API >> Antineoplastic agents >> Natural source antineoplastic agents
Name Docetaxel
Synonyms N-debenzoyl-N-tert-butoxycarbonyl-10-deacetyl taxol; Taxotere
Molecular Structure CAS # 114977-28-5, Docetaxel, N-debenzoyl-N-tert-butoxycarbonyl-10-deacetyl taxol, Taxotere
Molecular Formula C43H53NO14
Molecular Weight 807.88
CAS Registry Number 114977-28-5
EC Number 601-339-2
Properties
Melting point 232 ºC
alpha -36 º (c=0.74,EtOH)
Safety Data
Hazard Classification
up    Details
HazardClassCategory CodeHazard Statement
Germ cell mutagenicityMuta.2H341
Eye irritationEye Irrit.2H319
Specific target organ toxicity - repeated exposureSTOT RE1H372
Reproductive toxicityRepr.2H361
Reproductive toxicityRepr.1BH360
Reproductive toxicityLact.-H362
CarcinogenicityCarc.2H351
Specific target organ toxicity - repeated exposureSTOT RE2H373
SDS Available
Market Analysis Reports
List of Reports Available for Docetaxel
Related Products
5'-O-DMT-2'-O-TBDMS-2-Thiouridine 3'-CE phosphoramidite  5'-O-DMT-2'-O-TBDMS-L-Uridine 3'-CE phosphoramidite  5'-O-DMT-2'-O-tert-Butyldimethylsilyl-Inosine 3'-CE phosphoramidite  DNA, d(G-G-T-C-T-C-G-A-T-G-A-T-C-T-G-A-C-C-T-C-G-T-G-A)  DNA, d(G-C-C-A-A-C-T-C-T-A-C-G-T-C-A-A-T-A-C-G-C-G-T-G-G-C-G-G-T-G-G-C-A-G-C-A-A-C-C-G-G-G-C-C-C-C-C-A-A-A-A)  DNA (methane producing archaea iron corrosivity-related region)  DNA polymerase  DNA (Terrabacter strain YK11 16S rRNA gene fragment)  Dobutamine hydrobromide  Dobutamine hydrochloride  7-epi-Docetaxel  Docetaxel-D9  Docetaxel EP Impurity A  Docetaxel Impurity 19  Docetaxel intermediate  Docetaxel trihydrate  (13Z,16Z)-13,16-Docosadienoic acid methyl ester  cis-4,7,10,13,16,19-Docosahexaenoic acid  Docosahexaenoic acid