Online Database of Chemicals from Around the World

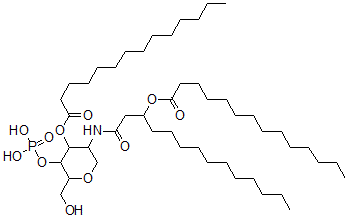
[1-[[6-(羟甲基)-5-膦酰氧基-4-十四碳酰氧基四氢吡喃-3-基]氨基]-1-氧代十四烷-3-基]十四烷酸酯
[CAS# 99777-22-7]

供应商
CAS#: 99777-22-7
产品: [1-[[6-(羟甲基)-5-膦酰氧基-4-十四碳酰氧基四氢吡喃-3-基]氨基]-1-氧代十四烷-3-基]十四烷酸酯
暂时没有厂家供应该产品。
基本信息
产品名称 [1-[[6-(羟甲基)-5-膦酰氧基-4-十四碳酰氧基四氢吡喃-3-基]氨基]-1-氧代十四烷-3-基]十四烷酸酯
英文名 [1-[[6-(Hydroxymethyl)-5-phosphonooxy-4-tetradecanoyloxy-oxan-3-yl]amino]-1-oxotetradecan-3-yl] tetradecanoate
别名 1-[2-[[6-(Hydroxymethyl)-5-Phosphonooxy-4-Tetradecanoyloxy-Tetrahydropyran-3-Yl]Amino]-2-Oxo-Ethyl]Dodecyl Tetradecanoate; Tetradecanoic Acid 1-[2-[[6-(Hydroxymethyl)-4-(1-Oxotetradecoxy)-5-Phosphonooxy-3-Tetrahydropyranyl]Amino]-2-Oxoethyl]Dodecyl Ester; M
分子结构 CAS 登录号:99777-22-7, [1-[[6-(羟甲基)-5-膦酰氧基-4-十四碳酰氧基四氢吡喃-3-基]氨基]-1-氧代十四烷-3-基]十四烷酸酯
分子式 C48H92NO11P
分子量 890.23
CAS 登录号 99777-22-7
分子行输入简码 SMILES C(C(OC1C(COC(C1O[P](=O)(O)O)CO)NC(CC(OC(=O)CCCCCCCCCCCCC)CCCCCCCCCCC)=O)=O)CCCCCCCCCCCC
国际化学标识码 InChI 1S/C48H92NO11P/c1-4-7-10-13-16-19-21-24-27-30-33-36-45(52)58-41(35-32-29-26-23-18-15-12-9-6-3)38-44(51)49-42-40-57-43(39-50)48(60-61(54,55)56)47(42)59-46(53)37-34-31-28-25-22-20-17-14-11-8-5-2/h41-43,47-48,50H,4-40H2,1-3H3,(H,49,51)(H2,54,55,56)
国际化学标识检索码 InChIKey DAJVWAYAPWDUTO-UHFFFAOYSA-N
物理化学性质
密度 1.072g/cm3 (计算值)
市场分析报告
请浏览[1-[[6-(羟甲基)-5-膦酰氧基-4-十四碳酰氧基四氢吡喃-3-基]氨基]-1-氧代十四烷-3-基]十四烷酸酯市场分析报告总目录
相关产品
2-酮基-3-脱氧-1,7-二羧基庚糖酸  3-巯基-2-吡啶磺酰胺  氨基甲酰化三碘甲状腺素  环(甘氨酰-脯氨酰-psi(CH2S)-甘氨酰-苯...  1,2-丙烷二醇与 1,1'-亚甲基双[异氰酸基苯...  己烷二羧酸与 2-丁烯-1,4-二醇, 1,6-二...  双(2-丙醇根合)(异辛醇根合)铝  (2E,4E,6E,8E)-N-乙氧基-3,7-二...  N(alpha)-苄氧羰基-4-胍基苯丙氨酸 be...  5-((羟基((羟基巯基亚膦酰)氧基)亚膦酰)氧基...  碘苯酯  银杏内酯 B  四异丁基氧二铝  4-[[(2S)-2-氨基-3-(4-羟基苯基)丙...  4-亚硝基杀螟松