Online Database of Chemicals from Around the World

(2R,3S,4R,5R)-2,3,4,5,6-五羟基-N-[3-(辛基氨基)丙基]己酰胺
[CAS# 93980-73-5]

供应商
CAS#: 93980-73-5
产品: (2R,3S,4R,5R)-2,3,4,5,6-五羟基-N-[3-(辛基氨基)丙基]己酰胺
暂时没有厂家供应该产品。
基本信息
产品名称 (2R,3S,4R,5R)-2,3,4,5,6-五羟基-N-[3-(辛基氨基)丙基]己酰胺
英文名 (2R,3S,4R,5R)-2,3,4,5,6-Pentahydroxy-N-[3-(octylamino)propyl]hexanamide
别名 N-[3-(octylamino)propyl]-D-gluconamide
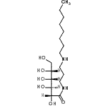
分子结构 CAS 登录号:93980-73-5, (2R,3S,4R,5R)-2,3,4,5,6-五羟基-N-[3-(辛基氨基)丙基]己酰胺
分子式 C17H36N2O6
分子量 364.48
CAS 登录号 93980-73-5
EINECS 登录号 301-053-5
分子行输入简码 SMILES O[C@H]([C@@H](O)C(=O)NCCCNCCCCCCCC)[C@H](O)[C@H](O)CO
国际化学标识码 InChI 1S/C17H36N2O6/c1-2-3-4-5-6-7-9-18-10-8-11-19-17(25)16(24)15(23)14(22)13(21)12-20/h13-16,18,20-24H,2-12H2,1H3,(H,19,25)/t13-,14-,15+,16-/m1/s1
国际化学标识检索码 InChIKey LOMLQPJYXUWYEH-LVQVYYBASA-N
物理化学性质
密度 1.165g/cm3 (计算值)
沸点 664.455°C at 760 mmHg (计算值)
闪点 355.65°C (计算值)
市场分析报告
请浏览(2R,3S,4R,5R)-2,3,4,5,6-五羟基-N-[3-(辛基氨基)丙基]己酰胺市场分析报告总目录
相关产品
(2R,3S,4R,5R)-2,3,4,5,6-五...  双环[2.2.1]庚-1-基乙酸酯  (2R,3S,4R,5R)-2,3,4,5,6-五...  5-己基-3-甲基二氢-2(3H)-呋喃酮  铁(2+)二(2-乙基己酸酯)  2-羟基乙基-苯基-铵硫酸盐  3-[(3-甲基-1,3-噻唑烷-2-亚基)甲基]...  2,2'-(1,3-丙二烯二基)二(5-氨基苯磺酸...  3-氯六氢-1-苯并呋喃-2(3H)-酮  N-[1-氨基-6-(辛酰氨基)-1-氧代-2-己...  2-[(1-氧代十二烷基)氨基]-4-磺酸-丁酸酯...  二钠2,2'-(1,2-乙二基)二(5-氨基苯磺酸...  8-(4-甲氧基丁基亚基)三环[5.2.1.0<s...  4-甲基-4-苯基-2-戊烷基2-甲基丙酸酯  N-乙基-N,N-二甲基-1-十六烷铵2-(2-甲...