Online Database of Chemicals from Around the World

3-C-甲基赤藓糖醇
[CAS# 93921-83-6]

供应商
CAS#: 93921-83-6
产品: 3-C-甲基赤藓糖醇
暂时没有厂家供应该产品。
基本信息
产品名称 3-C-甲基赤藓糖醇
英文名 3-C-Methylerythritol
别名 2-C-Methylerythritol; 2-Methylerythritol; 3-C-Methylerythritol
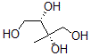
分子结构 CAS 登录号:93921-83-6, 3-C-甲基赤藓糖醇
分子式 C5H12O4
分子量 136.15
CAS 登录号 93921-83-6
分子行输入简码 SMILES [C@]([C@@H](O)CO)(O)(CO)C
国际化学标识码 InChI 1S/C5H12O4/c1-5(9,3-7)4(8)2-6/h4,6-9H,2-3H2,1H3/t4-,5+/m0/s1
国际化学标识检索码 InChIKey HGVJFBSSLICXEM-CRCLSJGQSA-N
物理化学性质
密度 1.341g/cm3 (计算值)
沸点 368.127°C at 760 mmHg (计算值)
闪点 193.036°C (计算值)
市场分析报告
请浏览3-C-甲基赤藓糖醇市场分析报告总目录
相关产品
3-苯基戊-4-烯醛  2-(4-氨基-3-硝基苯甲酰基)苯甲酸  1-[2-[(2-氯苯基)氨基]乙基]-4-甲基吡...  4-[2-[[4-[(2-氯-4-硝基苯基)偶氮]...  2-[(1-乙基-1,6-二氢-2-羟基-4-甲基...  乙基二甲基(1-甲基-3,3-二苯基丙基)铵氢氧化...  2-(1,1-二甲基-2-苯基乙基)-5,5-二甲...  N2-甲酰-L-天冬氨酰胺  2-氯-2-羟基庚酸乙酯  N-[N-[(1,3-二氢-1,3-二氧代-2H-...  (2E,6Z)-十二碳-2,6-二烯基醋酸酯  4-氨基-3-[3-(三氟甲基)苯基]异噻唑-5-...  2-[[4-[[4-[[4-氯-6-[(2,5-二...  2-(二甲基庚基)-4,5-二氢-1H-咪唑-1-...  (2-氯苯基)[2-[2-(二乙基氨基甲基)咪唑-...