Identification
| Name |
(SP-4-2)-1-(3-Mercapto-3-methylbutanoic acid)-2-L-leucine-Oxytocin |
| Synonyms |
1-[7-(2-Amino-2-Oxo-Ethyl)-10-(3-Amino-3-Oxo-Propyl)-20,20-Dimethyl-6,9,12,15,18-Pentaoxo-13,16-Disec-Butyl-1,2-Dithia-5,8,11,14,17-Pentazacycloicosane-4-Carbonyl]-N-[1-[(2-Amino-2-Oxo-Ethyl)Carbamoyl]-2-Methyl-Butyl]Pyrrolidine-2-Carboxamide; N-[1-[[(2-Am |
|
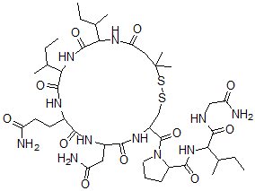
| Molecular Structure |
 |
| Molecular Formula |
C42H71N11O11S2 |
| Molecular Weight |
970.21 |
| CAS Registry Number |
92444-08-1 |
| SMILES |
C(C1NC(=O)C(NC(=O)C(NC(=O)C(NC(=O)CC(SSCC(NC1=O)C(=O)N2C(C(=O)NC(C(=O)NCC(=O)N)C(CC)C)CCC2)(C)C)C(CC)C)C(CC)C)CCC(=O)N)C(=O)N |
| InChI |
1S/C42H71N11O11S2/c1-9-21(4)32(38(61)46-19-30(45)56)51-37(60)27-13-12-16-53(27)41(64)26-20-65-66-42(7,8)18-31(57)50-33(22(5)10-2)40(63)52-34(23(6)11-3)39(62)47-24(14-15-28(43)54)35(58)48-25(17-29(44)55)36(59)49-26/h21-27,32-34H,9-20H2,1-8H3,(H2,43,54)(H2, |
| InChIKey |
XMOONRQYUXCDEX-UHFFFAOYSA-N |
|