Identification
| Name |
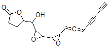
4,5-Dihydro-5-(2,3:4,5-diepoxy-1-hydroxydodeca-6,7-dien-9,11-diynyl)-2(3H)-furanone |
| Synonyms |
5-[[3-(3-Hepta-1,2-Dien-4,6-Diynyloxiran-2-Yl)Oxiran-2-Yl]-Hydroxy-Methyl]Tetrahydrofuran-2-One; 5-[[3-(3-Hepta-1,2-Dien-4,6-Diynyl-2-Oxiranyl)-2-Oxiranyl]-Hydroxymethyl]-2-Tetrahydrofuranone; 5-[[3-(3-Hepta-1,2-Dien-4,6-Diynyloxiran-2-Yl)Oxiran-2-Yl]-Hydro |
|
| Molecular Structure |
 |
| Molecular Formula |
C16H14O5 |
| Molecular Weight |
286.28 |
| CAS Registry Number |
91682-94-9 |
| SMILES |
O=C3OC(C(C2C(C1C(O1)[CH]=[C]=[CH]C#CC#C)O2)O)CC3 |
| InChI |
1S/C16H14O5/c1-2-3-4-5-6-7-11-14(20-11)16-15(21-16)13(18)10-8-9-12(17)19-10/h1,5,7,10-11,13-16,18H,8-9H2 |
| InChIKey |
JMBCDSUOYMQCGL-UHFFFAOYSA-N |
|