Online Database of Chemicals from Around the World

4,4'-[(2-溴-1,4-亚苯基)二(E)-2,1-乙烯二基]二苯酚
[CAS# 872201-12-2]

供应商
Glentham Life Sciences 英国 询价快递  
+44 (2033) 978-798
info@glenthamls.com
化学品供销商(2013 年起)
International Laboratory Limited 美国 询价快递  
+1 (650) 278-9963
admin@intlab.org
化学品生产商(2002 年起)
Tocris Bioscience Inc. 美国 询价快递  
+1 (636) 207-7651
marketing@tocrisusa.com
化学品生产商(1982 年起)
基本信息
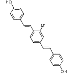
产品名称 4,4'-[(2-溴-1,4-亚苯基)二(E)-2,1-乙烯二基]二苯酚
英文名 4,4'-[(2-Bromo-1,4-phenylene)di(E)-2,1-ethenediyl]diphenol
别名 [872201-12-2]; 4,4'-[(2-Bromo-1,4-phenylene)di-(1E)-2,1-ethenediyl]bisphenol
分子结构 CAS 登录号:872201-12-2, 4,4'-[(2-溴-1,4-亚苯基)二(E)-2,1-乙烯二基]二苯酚
分子式 C22H17BrO2
分子量 393.27
CAS 登录号 872201-12-2
分子行输入简码 SMILES C1=CC(=CC=C1/C=C/C2=CC(=C(C=C2)/C=C/C3=CC=C(C=C3)O)Br)O
国际化学标识码 InChI 1S/C22H17BrO2/c23-22-15-18(2-1-16-5-11-20(24)12-6-16)4-10-19(22)9-3-17-7-13-21(25)14-8-17/h1-15,24-25H/b2-1+,9-3+
国际化学标识检索码 InChIKey OXPHQQMZTXMEGO-RJTULKDBSA-N
物理化学性质
密度 1.5±0.1g/cm3 (计算值)
沸点 563.0±39.0°C at 760 mmHg (计算值)
闪点 294.3±27.1°C (计算值)
折射率 1.777 (计算值)
溶解度 Soluble to 100 mM in DMSO and to 50 mM in ethanol
市场分析报告
请浏览4,4'-[(2-溴-1,4-亚苯基)二(E)-2,1-乙烯二基]二苯酚市场分析报告总目录
相关产品
1,7,13-十四碳三炔  2-溴-1-(3-甲基-1,2,4-恶二唑-5-基...  N,N-二乙基乙胺-三甲基铟(1:1)  1-(4-甲氧基苄基)-5-({(2S)-2-[(...  2,6-二甲基-4'-(三氟甲基)-4-联苯醇  乙基3-甲基-4,5-二氢-1H-吡唑-4-羧酸酯  苯基(四氢-1(2H)-嘧啶基)甲酮  乙基[(1R)-8-乙基-1,3,4,9-四氢吡喃...  四氢-1H-嘌呤-2,6,8(3H)-三酮  5-(1,3-二氧戊环-2-基)-2-戊炔-1-醇  2-(2-硫代-2,3-二氢-1H-咪唑-4-基)...  4-(4,5-二氢-1H-咪唑-2-基)苯硫酚  3-(4,5-二氢-1H-咪唑-2-基)苯硫酚  2,5-二甲基-4-亚硝基苯胺  (3-溴苯基)(4-乙氧基苯基)甲酮