Identification
| Name |
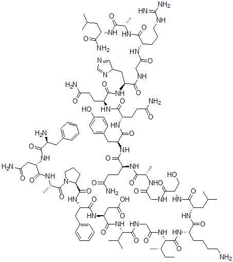
L-Phenylalanyl-L-Asparaginyl-L-Alanyl-L-Prolyl-L-Phenylalanyl-L-alpha-Aspartyl-L-Valylglycyl-L-Isoleucyl-L-Lysyl-L-Leucyl-L-Serylglycyl-L-Alanyl-L-Glutaminyl-L-Tyrosyl-L-Glutaminyl-L-Glutaminyl-L-Histidylglycyl-L-Arginyl-L-Alanyl-L-Leucinamide |
| Synonyms |
H-PHE-ASN-ALA-PRO-PHE-ASP-VAL-GLY-ILE-LYS-LEU-SER-GLY-ALA-GLN-TYR-GLN-GLN-HIS-GLY-ARG-ALA-LEU-NH2; Obestatin, Rat, Mouse, Gerbil; Obestatin (Mouse, Rat) |
|
| Molecular Structure |
 |
| Molecular Formula |
C114H174N34O31 |
| Molecular Weight |
2516.81 |
| CAS Registry Number |
869705-22-6 |
| SMILES |
NCCCC[C@@H](C(=O)N[C@H](C(=O)N[C@H](C(=O)NCC(=O)N[C@H](C(=O)N[C@H](C(=O)N[C@H](C(=O)N[C@H](C(=O)N[C@H](C(=O)N[C@H](C(=O)NCC(=O)N[C@H](C(=O)N[C@H](C(=O)N[C@H](C(=O)N)CC(C)C)C)CCCNC(=N)N)Cc1nc[nH]c1)CCC |
| InChI |
1S/C114H174N34O31/c1-12-60(8)93(146-90(157)54-128-111(177)92(59(6)7)147-109(175)81(50-91(158)159)143-108(174)78(46-65-25-17-14-18-26-65)144-110(176)83-29-22-42-148(83)113(179)63(11)132-105(171)8 |
|