Online Database of Chemicals from Around the World

Phomenoic Acid
[CAS# 83652-15-7]

供应商
CAS#: 83652-15-7
产品: Phomenoic Acid
暂时没有厂家供应该产品。
基本信息
产品名称 Phomenoic Acid
英文名 Phomenoic Acid
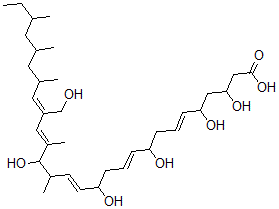
别名 (6E,10E,14E,18E,20Z)-3,5,9,13,17-Pentahydroxy-20-(Hydroxymethyl)-16,18,22,24,26-Pentamethyl-Octacosa-6,10,14,18,20-Pentaenoic Acid; (6E,10E,14E,18E,20Z)-3,5,9,13,17-Pentahydroxy-16,18,22,24,26-Pentamethyl-20-Methylol-Octacosa-6,10,14,18,20-Pentaenoic Acid; 6,10,14,18,20-Octacosapentaenoic Acid, 3,5,9,13,17-Pentahydroxy-20-(Hydroxymethyl)-16,18,22,24,26-Pentamethyl-
分子结构 CAS 登录号:83652-15-7, Phomenoic Acid
分子式 C34H58O8
分子量 594.83
CAS 登录号 83652-15-7
分子行输入简码 SMILES C(C(CC(\C=C\CC(\C=C\CC(\C=C\C(C(C(=C/C(=C/C(CC(CC(CC)C)C)C)CO)/C)O)C)O)O)O)O)C(=O)O
国际化学标识码 InChI 1S/C34H58O8/c1-7-23(2)16-24(3)17-25(4)18-28(22-35)19-27(6)34(42)26(5)14-15-30(37)12-8-10-29(36)11-9-13-31(38)20-32(39)21-33(40)41/h8-10,13-15,18-19,23-26,29-32,34-39,42H,7,11-12,16-17,20-22H2,1-6H3,(H,40,41)/b10-8+,13-9+,15-14+,27-19+,28-18-
国际化学标识检索码 InChIKey YGKCSBFCFFDFJJ-CMKJWTFASA-N
物理化学性质
密度 1.101g/cm3 (计算值)
沸点 779.824°C at 760 mmHg (计算值)
闪点 439.33°C (计算值)
市场分析报告
请浏览Phomenoic Acid市场分析报告总目录
相关产品
Phomenolactone  5-[2-(5-硝基-2-呋喃基)乙烯基]-1,3...  7-[(1R,2R,3R)-3-羟基-2-[(E,...  3-(3-丙-2-基氧基苯基)吡咯烷-2,5-二酮  1,2-二氢-N,N-二甲基-4-苯基-2-萘甲胺...  3-((4-甲基-1-哌嗪基)甲基)-1-苯基异喹...  3,4-二氢-N,N-二甲基-1-(2-氟苯基)-...  1-[7-氯-1-(2-氟苯基)-3,4-二氢异喹...  1-(7-氯-1-苯基-3,4-二氢异喹啉-3-基...  3,4-二氢-1-(2-氟苯基)-3-异喹啉乙胺草...  3,4-二氢-N,N-二甲基-1-(3-甲基苯基)...  3,4-二氢-N,N-二甲基-1-(2-硝基苯基)...  1-[6-(3-氯苯基)-2-氧杂-5-氮杂双环[...  1-[6-(3-氟苯基)-2-氧杂-5-氮杂双环[...  3,4-二氢-N,N-二乙基-7-甲基-1-苯基-...