基本信息
| 产品名称 |
(2S,5S)-5-氯-N,N-二(2-氯乙基)-1,3,2-氧氮杂磷杂环己烷-2-胺2-氧化物 |
| 英文名 |
(2S,5S)-5-Chloro-N,N-bis(2-chloroethyl)-1,3,2-oxazaphosphinan-2-amine 2-oxide |
| 别名 |
cis-2-(Bis(2-chloroethyl)amino)-5-chlorotetrahydro-2H-1,3,2-oxazaphosphorine 2-oxide; cis-5-Chlorocyclophosphamide |
|
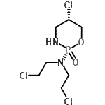
| 分子结构 |
 |
| 分子式 |
C7H14Cl3N2O2P |
| 分子量 |
295.53 |
| CAS 登录号 |
78542-61-7 |
| 分子行输入简码 SMILES |
O=P1(OC[C@@H](Cl)CN1)N(CCCl)CCCl |
| 国际化学标识码 InChI |
1S/C7H14Cl3N2O2P/c8-1-3-12(4-2-9)15(13)11-5-7(10)6-14-15/h7H,1-6H2,(H,11,13)/t7-,15-/m0/s1 |
| 国际化学标识检索码 InChIKey |
SOAIQMUEYYSJNA-ZIDLFYJRSA-N |
|