Online Database of Chemicals from Around the World

1-[7-(2-Amino-2-Oxoethyl)-10-(3-Amino-3-Oxopropyl)-16-[(4-Hydroxyphenyl)Methyl]-6,9,12,15,18-Pentaoxo-13-(Phenylmethyl)1,2-Dithia-5,8,11,14,17-Pentazacycloicosane-4-Carbonyl]-N-[1-[(1-Amino-1-Oxopropan-2-Yl)Amino]-5-(Diaminomethylideneamino)-1-Oxopentan-2-Yl]Pyrrolidine-2-Carboxamide
[CAS# 78338-40-6]

Suppliers
CAS#: 78338-40-6
Product: 1-[7-(2-Amino-2-Oxoethyl)-10-(3-Amino-3-Oxopropyl)-16-[(4-Hydroxyphenyl)Methyl]-6,9,12,15,18-Pentaoxo-13-(Phenylmethyl)1,2-Dithia-5,8,11,14,17-Pentazacycloicosane-4-Carbonyl]-N-[1-[(1-Amino-1-Oxopropan-2-Yl)Amino]-5-(Diaminomethylideneamino)-1-Oxopentan-2-Yl]Pyrrolidine-2-Carboxamide
No suppilers available for the product.
Identification
Name 1-[7-(2-Amino-2-Oxoethyl)-10-(3-Amino-3-Oxopropyl)-16-[(4-Hydroxyphenyl)Methyl]-6,9,12,15,18-Pentaoxo-13-(Phenylmethyl)1,2-Dithia-5,8,11,14,17-Pentazacycloicosane-4-Carbonyl]-N-[1-[(1-Amino-1-Oxopropan-2-Yl)Amino]-5-(Diaminomethylideneamino)-1-Oxopentan-2-Yl]Pyrrolidine-2-Carboxamide
Synonyms N-[1-[(2-Amino-1-Methyl-2-Oxo-Ethyl)Carbamoyl]-4-Guanidino-Butyl]-1-[7-(2-Amino-2-Oxo-Ethyl)-10-(3-Amino-3-Oxo-Propyl)-16-[(4-Hydroxyphenyl)Methyl]-6,9,12,15,18-Pentaoxo-13-(Phenylmethyl)1,2-Dithia-5,8,11,14,17-Pentazacycloicosane-4-Carbonyl]Pyrrolidine-2-Carboxamide; N-[1-[[(2-Amino-1-Methyl-2-Oxoethyl)Amino]-Oxomethyl]-4-Guanidinobutyl]-1-[[7-(2-Amino-2-Oxoethyl)-10-(3-Amino-3-Oxopropyl)-16-[(4-Hydroxyphenyl)Methyl]-6,9,12,15,18-Pentaoxo-13-(Phenylmethyl)-1,2-Dithia-5,8,11,14,17-Pentazacycloicos-4-Yl]-Oxomethyl]-2-Pyrrolidinecarboxamide; 1-[7-(2-Amino-2-Keto-Ethyl)-10-(3-Amino-3-Keto-Propyl)-13-(Benzyl)-16-(4-Hydroxybenzyl)-6,9,12,15,18-Pentaketo-1,2-Dithia-5,8,11,14,17-Pentazacycloicosane-4-Carbonyl]-N-[1-[(2-Amino-2-Keto-1-Methyl-Ethyl)Carbamoyl]-4-Guanidino-Butyl]Pyrrolidine-2-Carboxamide
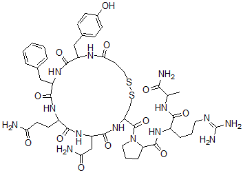
Molecular Structure CAS#: 78338-40-6, 1-[7-(2-Amino-2-Oxoethyl)-10-(3-Amino-3-Oxopropyl)-16-[(4-Hydroxyphenyl)Methyl]-6,9,12,15,18-Pentaoxo-13-(Phenylmethyl)1,2-Dithia-5,8,11,14,17-Pentazacycloicosane-4-Carbonyl]-N-[1-[(1-Amino-1-Oxopropan-2-Yl)Amino]-5-(Diaminomethylideneamino)-1-Oxopentan-2-Yl]Pyrrolidine-2-Carboxamide
Molecular Formula C47H66N14O12S2
Molecular Weight 1083.25
CAS Registry Number 78338-40-6
SMILES C4=C(CC1NC(=O)C(NC(=O)CCSSCC(NC(=O)C(NC(=O)C(NC1=O)CCC(=O)N)CC(=O)N)C(=O)N2C(CCC2)C(=O)NC(CCCN=C(N)N)C(=O)NC(C)C(=O)N)CC3=CC=C(O)C=C3)C=CC=C4
InChI 1S/C47H66N14O12S2/c1-25(39(50)66)54-40(67)29(9-5-18-53-47(51)52)57-45(72)35-10-6-19-61(35)46(73)34-24-75-74-20-17-38(65)55-31(22-27-11-13-28(62)14-12-27)42(69)58-32(21-26-7-3-2-4-8-26)43(70)56-30(15-16-36(48)63)41(68)59-33(23-37(49)64)44(71)60-34/h2-4,7-8,11-14,25,29-35,62H,5-6,9-10,15-24H2,1H3,(H2,48,63)(H2,49,64)(H2,50,66)(H,54,67)(H,55,65)(H,56,70)(H,57,72)(H,58,69)(H,59,68)(H,60,71)(H4,51,52,53)
InChIKey ZSQRCQGFSCQHFK-UHFFFAOYSA-N
Properties
Density 1.55g/cm3 (Cal.)
Market Analysis Reports
List of Reports Available for 1-[7-(2-Amino-2-Oxoethyl)-10-(3-Amino-3-Oxopropyl)-16-[(4-Hydroxyphenyl)Methyl]-6,9,12,15,18-Pentaoxo-13-(Phenylmethyl)1,2-Dithia-5,8,11,14,17-Pentazacycloicosane-4-Carbonyl]-N-[1-[(1-Amino-1-Oxopropan-2-Yl)Amino]-5-(Diaminomethylideneamino)-1-Oxopentan-2-Yl]Pyrrolidine-2-Carboxamide
Related Products
(3R)-3-Hydroxy-1-(4-Methoxybenzoyl)Pyrro...  L-Glutamine mixt. with sodium 3,8-dimeth...  [(1S,4aR)-8-[2-[(2R,4R)-4-Hydroxy-6-Oxoo...  7-[4-Amino-5-[3-Hydroxy-1-(1-Hydroxyprop...  [[[[(2R,3S,4R,5R)-3,4-Dihydroxy-5-Imidaz...  3'-Hydroxy HT-2 toxin  2-Methylidene-1H-[1,3]Oxazolo[3,2-a]Benz...  N-(Cyanomethoxy)Benzenecarboximidoyl Cya...  L-Lysine compd. with 3,5-bis(acetylamino...  Percogesic  Aluminum Magnesium 2-[2-Hydroxyethyl-[2-...  [8-[(4-Ethylphenyl)Methyl]-8-Methyl-8-Az...  3-(2-Chlorophenyl)-1-(2-Diethylaminoethy...  1-(2-Diethylaminoethyl)-1-Methyl-3-(2,4,...  N-(2-Chloro-6-Methylphenyl)-2-Pyrrolidin...