Online Database of Chemicals from Around the World

Bendigon
[CAS# 77124-26-6]

Suppliers
CAS#: 77124-26-6
Product: Bendigon
No suppilers available for the product.
Identification
Name Bendigon
Synonyms Yohimban-16-Carboxylic Acid, 11,17-Dimethoxy-18-((3,4,5-Trimethoxybenzoyl)Oxy)-, Methyl Ester, (3Beta,16Beta,17Alpha,18Beta,20Alpha)-, Mixt. With 4-Chloro-N(1)-Methyl-N(1)-((Tetrahydro-2-Methyl-2-Furanyl)Methyl)-1,3-Benzenedisulfonamide And Myo-Inositol Hexa-3-Pyridinecarboxylate; Bay Mc 4540
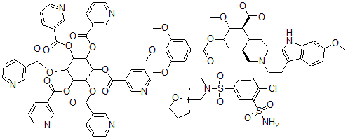
Molecular Structure CAS#: 77124-26-6, Bendigon
Molecular Formula C88H89ClN10O26S2
Molecular Weight 1802.30
CAS Registry Number 77124-26-6
SMILES [C@@H]16[C@@H](CN2[C@H](C1)C3=C(CC2)C4=C([NH]3)C=C(OC)C=C4)C[C@@H](OC(=O)C5=CC(=C(OC)C(=C5)OC)OC)[C@H](OC)[C@H]6C(OC)=O.C8=C([S](=O)(=O)N(CC7(OCCC7)C)C)C=CC(=C8[S](=O)(=O)N)Cl.C9=CC=NC=C9C(OC%14C(OC(=O)C%10=CN=CC=C%10)C(OC(=O)C%11=CN=CC=C%11)C(OC(=O)C%12=CN=CC=C%12)C(OC(=O)C%13=CN=CC=C%13)C%14OC(=O)C%15=CN=CC=C%15)=O
InChI 1S/C42H30N6O12.C33H40N2O9.C13H19ClN2O5S2/c49-37(25-7-1-13-43-19-25)55-31-32(56-38(50)26-8-2-14-44-20-26)34(58-40(52)28-10-4-16-46-22-28)36(60-42(54)30-12-6-18-48-24-30)35(59-41(53)29-11-5-17-47-23-29)33(31)57-39(51)27-9-3-15-45-21-27;1-38-19-7-8-20-21-9-10-35-16-18-13-27(44-32(36)17-11-25(39-2)30(41-4)26(12-17)40-3)31(42-5)28(33(37)43-6)22(18)15-24(35)29(21)34-23(20)14-19;1-13(6-3-7-21-13)9-16(2)23(19,20)10-4-5-11(14)12(8-10)22(15,17)18/h1-24,31-36H;7-8,11-12,14,18,22,24,27-28,31,34H,9-10,13,15-16H2,1-6H3;4-5,8H,3,6-7,9H2,1-2H3,(H2,15,17,18)/t;18-,22+,24-,27-,28+,31+;/m.1./s1
InChIKey PKLVWBPNKDMSNZ-PCVXMZHSSA-N
Properties
Boiling point 897°C at 760 mmHg (Cal.)
Flash point 496.3°C (Cal.)
Market Analysis Reports
List of Reports Available for Bendigon
Related Products
Baycuten  8-Hydroxycarvotanacetone  Myrtecaine  4-Hydroxy-2H-1,4-Benzoxazin-3(4H)-One  N'-Hydroxy-2-Methoxybenzenecarboximidami...  7,11-Dimethyl-3-Methylidenedodeca-1,6,10...  2-[[9-[(2R,3R,4S,5R)-3,4-Dihydroxy-5-(Ph...  2-Methyl-3-Phenyl-(2H)Isoxazol-5-One  4-(4-Bromophenyl)-N-[4-(4-Bromophenyl)-1...  6-[(2S,3R,4S,5S,6R)-4,5-Dihydroxy-6-(Hyd...  2-(1-Adamantyl)-1-Methylimidazole  2-Methyl-4H-1-Benzothiopyran-4-One  Methyl 2-(2-Oxo-3-Phenyl-3H-1-Benzofuran...  2-(2-Oxo-3-Phenyl-3H-1-Benzofuran-5-Yl)A...  2-(2-Oxo-3-Phenyl-3H-1-Benzofuran-5-Yl)P...