Online Database of Chemicals from Around the World

Acnistin E
[CAS# 76994-39-3]

Suppliers
CAS#: 76994-39-3
Product: Acnistin E
No suppilers available for the product.
Identification
Name Acnistin E
Synonyms Aids031215; Cyclopenta[1,2]Phenanthro[8A,9-B]Oxiren-1(4H)-One, 5A,6,6A,6B,7,8,9,9A,10,11,11A,11B-Dodecahydro-4,9-Dihydroxy-9-[(1S,4R,5S)-4-Hydroxy-4,5-Dimethyl-3-Oxo-2-Oxabicyclo[3.2.1]Oct-7-Yl]-9A,11B-Dimethyl-, (4S,4Ar,5Ar,6As,6Bs,9R,9As,11As,11Br)-; Acnistin E
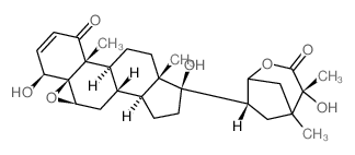
Molecular Structure CAS#: 76994-39-3, Acnistin E
Molecular Formula C28H38O7
Molecular Weight 486.60
CAS Registry Number 76994-39-3
SMILES [C@]237[C@@]([C@H]1CC[C@]4([C@H]([C@@H]1C[C@H]2O3)CC[C@]4(C5[C@H]6OC(=O)[C@@]([C@](C5)(C)C6)(O)C)O)C)(C(=O)C=C[C@@H]7O)C
InChI 1S/C28H38O7/c1-23-12-17(18(13-23)34-22(31)26(23,4)32)27(33)10-8-15-14-11-21-28(35-21)20(30)6-5-19(29)25(28,3)16(14)7-9-24(15,27)2/h5-6,14-18,20-21,30,32-33H,7-13H2,1-4H3/t14-,15-,16-,17?,18-,20-,21+,23-,24-,25-,26-,27+,28+/m0/s1
InChIKey FKQUQCYOBZEPTK-LOBFLEJSSA-N
Properties
Density 1.378g/cm3 (Cal.)
Boiling point 673.853°C at 760 mmHg (Cal.)
Flash point 224.251°C (Cal.)
Market Analysis Reports
List of Reports Available for Acnistin E
Related Products
Ethyl 3-[[6-[(3-Ethoxycarbonyl-2,4,6-Tri...  2-Amino-3-[(3E)-3-[[4-[(2S)-2-Amino-3-[[...  (2S)-2-[[(2S)-2-[[2-[[2-[[(2S)-2-Amino-3...  5-[(4-Dimethylaminophenyl)Methylidene]-1...  2-Amino-2-(5-Methyl-3-Oxo-1,2-Oxazol-4-Y...  2-Amino-3-(3-Oxo-1,2-Oxazol-4-Yl)Propano...  Fenpipramide  Acnistin A  1,1-Di(Ethenyl)Cyclohexane  3-Chloro-4-Oxopentanoic Acid  Chlorisondamine  Metalol  (8E)-6-Methyl-8-[(2E,4E)-5-(6-Methyl-2,4...  2-Morpholin-4-Ylacetohydrazide  Aprobarbital Methanol Solution