Online Database of Chemicals from Around the World

芋螺毒素GII
[CAS# 76862-66-3]

供应商
CAS#: 76862-66-3
产品: 芋螺毒素GII
暂时没有厂家供应该产品。
基本信息
产品名称 芋螺毒素GII
英文名 Conotoxin GII
别名 Conotoxin G I, 4-L-Histidine-9-L-Lysine-11-L-Phenylalanine-; Conotoxin G Ii
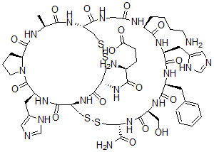
分子结构 CAS 登录号:76862-66-3, 芋螺毒素GII
分子式 C57H81N19O16S4
分子量 1416.62
CAS 登录号 76862-66-3
分子行输入简码 SMILES [C@@H]25C(N[C@H](C(N1CCC[C@H]1C(N[C@H](C(N[C@H](C(NCC(N[C@@H](CCCCN)C(N[C@H](C(N[C@H](C(N[C@H](C(=O)N[C@H](C(=O)N)CSSC2)CO)=O)CC3=CC=CC=C3)=O)CC4=CN=C[NH]4)=O)=O)=O)CSSC[C@@H](C(=O)N5)NC([C@H](CCC(=O)O)N)=O)=O)C)=O)=O)CC6=CN=C[NH]6)=O
国际化学标识码 InChI 1S/C57H81N19O16S4/c1-29-47(82)73-40-24-94-96-25-41(74-48(83)33(59)12-13-45(79)80)55(90)75-42(54(89)70-37(18-32-20-62-28-65-32)57(92)76-15-7-11-43(76)56(91)66-29)26-95-93-23-39(46(60)81)72-53(88)38(22-77)71-51(86)35(16-30-8-3-2-4-9-30)68-52(87)36(17-31-19-61-27-64-31)69-50(85)34(10-5-6-14-58)67-44(78)21-63-49(40)84/h2-4,8-9,19-20,27-29,33-43,77H,5-7,10-18,21-26,58-59H2,1H3,(H2,60,81)(H,61,64)(H,62,65)(H,63,84)(H,66,91)(H,67,78)(H,68,87)(H,69,85)(H,70,89)(H,71,86)(H,72,88)(H,73,82)(H,74,83)(H,75,90)(H,79,80)/t29-,33-,34-,35-,36-,37-,38-,39-,40-,41-,42-,43-/m0/s1
国际化学标识检索码 InChIKey GBQKLTZKGNZVHO-PVGVDLJESA-N
物理化学性质
密度 1.528g/cm3 (计算值)
沸点 1976.168°C at 760 mmHg (计算值)
闪点 1148.945°C (计算值)
市场分析报告
请浏览芋螺毒素GII市场分析报告总目录
相关产品
5-[(E)-丁-2-烯酰基]-4-甲氧基-6-甲...  N-[(3-氯苯基)氨基]氨基甲酸乙酯  2-[4-[[4-(氯甲基)苯基]硫代氨基甲酰氨基...  3-萘-1-基-1-[4-(哌啶-1-羰基)苯基]...  N,N-二甲基-4-(2-吡啶基偶氮)苯胺N-氧化...  [3,4-二乙酰氧基-5-(6-巯基-3H-嘌呤-...  5-羟基-2-[[4-羟基-3-(三氟甲基)苯基]...  (-)-1-((3-(碘-125I)-1H-吲哚-...  [(1R,2R)-2-吡咯烷-1-基环己基]N-(...  N-[4-(7-二乙基氨基-4-甲基-2-氧代苯并...  (6E)-3-乙氧基-6-(三甲基硅烷基氧基亚甲基...  (3S)-2,3,4,10-四氢-3-羟基-2,2...  O-乙酰基喜树碱  N-[[(2E,4E,6E)-十一碳-2,4,6-...  2-[[4-[7-[1-[4-(2,2-二氰基乙烯...