Online Database of Chemicals from Around the World

伊短菌素F
[CAS# 71750-64-6]

供应商
CAS#: 71750-64-6
产品: 伊短菌素F
暂时没有厂家供应该产品。
基本信息
产品名称 伊短菌素F
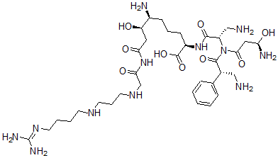
英文名 Edeine F
别名 (2R,6S,7R)-6-Amino-2-[[(2S)-3-Amino-2-[[(3R)-3-Amino-3-Hydroxy-Propanoyl]-[(2S)-3-Amino-2-Phenyl-Propanoyl]Amino]Propanoyl]Amino]-9-[[2-[3-(4-Guanidinobutylamino)Propylamino]Acetyl]Amino]-7-Hydroxy-9-Oxo-Nonanoic Acid; (2R,6S,7R)-6-Amino-2-[[(2S)-3-Amino-2-[[(3R)-3-Amino-3-Hydroxy-1-Oxopropyl]-[(2S)-3-Amino-1-Oxo-2-Phenylpropyl]Amino]-1-Oxopropyl]Amino]-9-[[2-[3-(4-Guanidinobutylamino)Propylamino]-1-Oxoethyl]Amino]-7-Hydroxy-9-Oxononanoic Acid; (2R,6S,7R)-6-Amino-2-[[(2S)-3-Amino-2-[[(3R)-3-Amino-3-Hydroxy-Propanoyl]-[(2S)-3-Amino-2-Phenyl-Propanoyl]Amino]Propanoyl]Amino]-9-[[2-[3-(4-Guanidinobutylamino)Propylamino]Acetyl]Amino]-7-Hydroxy-9-Keto-Pelargonic Acid
分子结构 CAS 登录号:71750-64-6, 伊短菌素F
分子式 C34H60N12O9
分子量 780.92
CAS 登录号 71750-64-6
分子行输入简码 SMILES [C@H](N)(CCC[C@@H](NC(=O)[C@@H](N(C(=O)[C@H](CN)C1=CC=CC=C1)C(=O)C[C@@H](O)N)CN)C(O)=O)[C@H](O)CC(=O)NC(=O)CNCCCNCCCCN=C(N)N
国际化学标识码 InChI 1S/C34H60N12O9/c35-18-22(21-8-2-1-3-9-21)32(53)46(30(51)17-27(38)48)25(19-36)31(52)44-24(33(54)55)11-6-10-23(37)26(47)16-28(49)45-29(50)20-42-14-7-13-41-12-4-5-15-43-34(39)40/h1-3,8-9,22-27,41-42,47-48H,4-7,10-20,35-38H2,(H,44,52)(H,54,55)(H4,39,40,43)(H,45,49,50)/t22-,23+,24-,25+,26-,27-/m1/s1
国际化学标识检索码 InChIKey WMAKHNPKGVNAJY-DDURVGIBSA-N
物理化学性质
密度 1.446g/cm3 (计算值)
市场分析报告
请浏览伊短菌素F市场分析报告总目录
相关产品
聚乙烯单醇  2-[4,5-二氢-3-甲基-4-[[4-[[4-...  4-氯-N-[2-(十二烷氧基)苯基]-1-羟基萘...  N-亚硝基-十一烷基脲  N-(2-羟基丙基)-N-亚硝基脲  N-(3-羟基丙基)-N-亚硝基脲  2-甲基-N-(2-噻唑烷基亚基)-苯甲酰胺  4-甲苯基异氰化物  2-(N-甲基-N-(N-丙基)氨基)-6,7-二...  甲烷-D3-硫醇  2-乙基-6-仲-丁基苯胺  (5Z,7E)-9,10-开环豆甾-5,7,10(...  1-棕榈酰-2-(2-叠氮基-4-硝基)苯甲酰基-...  二(2,3-环氧丙基)环己烷-1,4-二羧酸酯  三(环氧乙烷基甲基)苯-1,3,5-三羧酸酯