基本信息
| 产品名称 |
6-28-小肠血管活性二十八肽(猪) |
| 英文名 |
6-28-Vasoactiveintestinal Octacosapeptide (Swine) |
| 别名 |
Vasoactive Intestinal Peptide Fragment 6-28 Human, Porcine, Rat; VASOACTIVE INTESTINAL PEPTIDE (6-28), HUMAN, PORCINE, RAT; VASOACTIVE INTESTINAL PEPTIDE FRAGMENT 6-28 PORCINE |
|
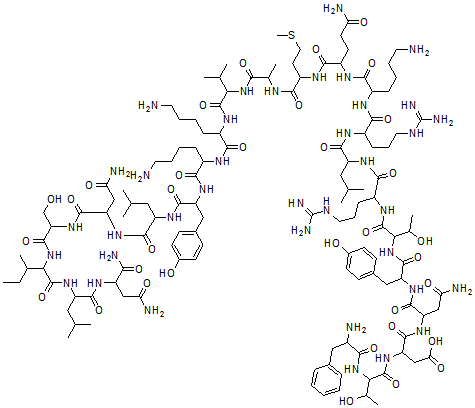
| 分子结构 |
 |
| 分子式 |
C126H207N37O34S |
| 分子量 |
2816.28 |
| CAS 登录号 |
69698-54-0 |
| 分子行输入简码 SMILES |
NCCCC[C@@H](C(=O)N[C@H](C(=O)N[C@H](C(=O)N[C@H](C(=O)N[C@H](C(=O)N[C@H](C(=O)N[C@H](C(=O)N[C@H](C(=O)N[C@H](C(=O)N[C@H](C(=O)N[C@H](C(=O)N[C@H](C(=O)N[C@H](C(=O)N[C@H](C(=O)N)CC(=O)N)CC(C)C)[C@H](CC)C |
| 国际化学标识码 InChI |
1S/C126H207N37O34S/c1-15-66(10)99(122(195)157-86(53-64(6)7)113(186)150-83(102(135)175)57-94(132)170)161-120(193)92(61-164)159-117(190)90(59-96(134)172)155-114(187)85(52-63(4)5)152-115(188)87(55- |
| 蛋白质序列 |
H-Phe-Thr-Asp-Asn-Tyr-Thr-Arg-Leu-Arg-Lys-Gln-Met-Ala-Val-Lys-Lys-Tyr-Leu-Asn-Ser-Ile-Leu-Asn-NH2 |
|