Online Database of Chemicals from Around the World

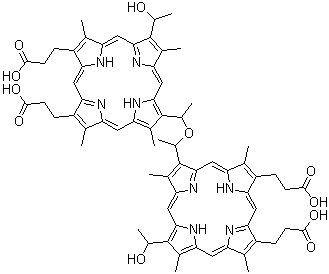
3-[12-(1-{1-[13,17-二(2-羧基乙基)-7-(1-羟基乙基)-3,8,12,18-四甲基-2-卟啉基]乙氧基}乙基)-18-(2-羧基乙基)-7-(1-羟基乙基)-3,8,13,17-四甲基-2-卟啉基]丙酸
[CAS# 68335-15-9]

供应商
CAS#: 68335-15-9
产品: 3-[12-(1-{1-[13,17-二(2-羧基乙基)-7-(1-羟基乙基)-3,8,12,18-四甲基-2-卟啉基]乙氧基}乙基)-18-(2-羧基乙基)-7-(1-羟基乙基)-3,8,13,17-四甲基-2-卟啉基]丙酸
暂时没有厂家供应该产品。
基本信息
产品名称 3-[12-(1-{1-[13,17-二(2-羧基乙基)-7-(1-羟基乙基)-3,8,12,18-四甲基-2-卟啉基]乙氧基}乙基)-18-(2-羧基乙基)-7-(1-羟基乙基)-3,8,13,17-四甲基-2-卟啉基]丙酸
英文名 3-[12-(1-{1-[13,17-Bis(2-carboxyethyl)-7-(1-hydroxyethyl)-3,8,12,18-tetramethyl-2-porphyrinyl]ethoxy}ethyl)-18-(2-carboxyethyl)-7-(1-hydroxyethyl)-3,8,13,17-tetramethyl-2-porphyrinyl]propanoic acid
别名 DHP Ether; Dihematoporphyrin Ether
分子结构 CAS 登录号:68335-15-9, 3-[12-(1-{1-[13,17-二(2-羧基乙基)-7-(1-羟基乙基)-3,8,12,18-四甲基-2-卟啉基]乙氧基}乙基)-18-(2-羧基乙基)-7-(1-羟基乙基)-3,8,13,17-四甲基-2-卟啉基]丙酸
分子式 C68H74N8O11
分子量 1179.36
CAS 登录号 68335-15-9
分子行输入简码 SMILES CC\1=C(/C/2=C/C3=N/C(=C\C4=C(C(=C(N4)/C=C\5/C(=C(C(=N5)/C=C1\N2)C(C)O)C)C(C)OC(C)C6=C(C7=CC8=C(C(=C(N8)C=C9C(=C(C(=N9)C=C1C(=C(C(=CC6=N7)N1)C)CCC(=O)O)CCC(=O)O)C)C)C(C)O)C)C)/C(=C3CCC(=O)O)C)CCC(=O)O
国际化学标识码 InChI 1S/C68H74N8O11/c1-29-41(13-17-61(79)80)53-28-56-44(16-20-64(85)86)32(4)48(72-56)24-59-68(36(8)52(76-59)25-58-65(37(9)77)33(5)49(73-58)21-45(29)69-53)40(12)87-39(11)67-35(7)50-22-46-30(2)42(14-18-62(81)82)54(70-46)27-55-43(15-19-63(83)84)31(3)47(71-55)23-57-66(38(10)78)34(6)51(74-57)26-60(67)75-50/h21-28,37-40,71-73,75,77-78H,13-20H2,1-12H3,(H,79,80)(H,81,82)(H,83,84)(H,85,86)/b45-21-,46-22-,47-23-,48-24-,49-21-,50-22-,51-26-,52-25-,53-28-,54-27-,55-27-,56-28-,57-23-,58-25-,59-24-,60-26-
国际化学标识检索码 InChIKey VAYJWFGRGMQINH-STKOUIOXSA-N
物理化学性质
密度 1.3±0.1g/cm3 (计算值)
参考文献
(1) Tobias Kiesslich, Gernot Wolkersdörfer, Daniel Neureiter, Hermann Salmhofer and Frieder Berr. Photodynamic therapy for non-resectable perihilar cholangiocarcinoma, Photochem. Photobiol. Sci., 2009, 8, 23.
市场分析报告
请浏览3-[12-(1-{1-[13,17-二(2-羧基乙基)-7-(1-羟基乙基)-3,8,12,18-四甲基-2-卟啉基]乙氧基}乙基)-18-(2-羧基乙基)-7-(1-羟基乙基)-3,8,13,17-四甲基-2-卟啉基]丙酸市场分析报告总目录
相关产品
1,2-二氢-1-苊羧酸  4-(5-甲基-1H-咪唑-1-基)苯酚  N-(2-吡啶基甲基)环己胺  3-乙基-2-[(1E,3E)-3-{3-[(1E...  (2E)-2-[(4-氯苯基)磺酰基]-3-肼基丙...  (6-甲基咪唑并[2,1-b][1,3]噻唑-3-...  (6-苯基咪唑并[2,1-b][1,3]噻唑-3-...  甲基4-氨基-5-氰基-6-(3-氰基-4-甲氧基...  2-(环己基氧基)烟酸  5-氯-2-乙氧基烟酸  (4-氟-3-苯氧基苯基)甲醇  6-(苄氧基)-7-甲氧基-3,4-二氢异喹啉  乙基3-(氯甲酰基)-2-环氧乙烷羧酸酯  烯丙基3-(氯甲酰基)-2-环氧乙烷羧酸酯  银(1+)2,6,6-三甲基双环[3.1.1]庚烷...