Online Database of Chemicals from Around the World

Coenzyme A S-(9Z,12Z)-9,12-Octadecadienoate
[CAS# 6709-57-5]

Suppliers
Alfa Chemistry USA Inquire  
+1 (201) 478-8534
inquiry@alfa-chemistry.com
Chemical distributor since 2012
chemBlink standard supplier since 2012
BOC Sciences USA Inquire  
+1 (631) 485-4226
info@bocsci.com
Skype Chat
Chemical distributor
chemBlink massive supplier since 2012
International Laboratory Limited USA Inquire  
+1 (650) 278-9963
admin@intlab.org
Chemical manufacturer since 2002
Identification
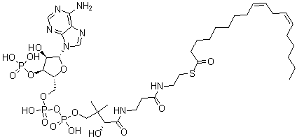
Name Coenzyme A S-(9Z,12Z)-9,12-Octadecadienoate
Synonyms S-[2-[3-[[(2R)-4-[[[(2R,3S,4R,5R)-5-(6-Aminopurin-9-Yl)-4-Hydroxy-3-Phosphonooxy-Tetrahydrofuran-2-Yl]Methoxy-Hydroxy-Phosphoryl]Oxy-Hydroxy-Phosphoryl]Oxy-2-Hydroxy-3,3-Dimethyl-Butanoyl]Amino]Propanoylamino]Ethyl] (9Z,12Z)-Octadeca-9,12-Dienethioate; (9Z,12Z)-Octadeca-9,12-Dienethioic Acid S-[2-[[3-[[(2R)-4-[[[(2R,3S,4R,5R)-5-(6-Amino-9-Purinyl)-4-Hydroxy-3-Phosphonooxy-2-Tetrahydrofuranyl]Methoxy-Hydroxyphosphoryl]Oxy-Hydroxyphosphoryl]Oxy-2-Hydroxy-3,3-Dimethyl-1-Oxobutyl]Amino]-1-Oxopropyl]Amino]Ethyl] Ester; (9Z,12Z)-Octadeca-9,12-Dienethioic Acid S-[2-[3-[[(2R)-4-[[[(2R,3S,4R,5R)-5-(6-Aminopurin-9-Yl)-4-Hydroxy-3-Phosphonooxy-Tetrahydrofuran-2-Yl]Methoxy-Hydroxy-Phosphoryl]Oxy-Hydroxy-Phosphoryl]Oxy-2-Hydroxy-3,3-Dimethyl-Butanoyl]Amino]Propanoylamino]Ethyl] Ester
Molecular Structure CAS#: 6709-57-5, Coenzyme A S-(9Z,12Z)-9,12-Octadecadienoate
Molecular Formula C39H66N7O17P3S
Molecular Weight 1029.97
CAS Registry Number 6709-57-5
SMILES [C@H]1(O[P](O)(O)=O)[C@@H](O)[C@@H](O[C@@H]1CO[P](O[P](OCC([C@@H](O)C(=O)NCCC(=O)NCCSC(=O)CCCCCCC\C=C/C/C=C\CCCCC)(C)C)(O)=O)(O)=O)[N]3C2=NC=NC(=C2N=C3)N
InChI 1S/C39H66N7O17P3S/c1-4-5-6-7-8-9-10-11-12-13-14-15-16-17-18-19-30(48)67-23-22-41-29(47)20-21-42-37(51)34(50)39(2,3)25-60-66(57,58)63-65(55,56)59-24-28-33(62-64(52,53)54)32(49)38(61-28)46-27-45-31-35(40)43-26-44-36(31)46/h8-9,11-12,26-28,32-34,38,49-50H,4-7,10,13-25H2,1-3H3,(H,41,47)(H,42,51)(H,55,56)(H,57,58)(H2,40,43,44)(H2,52,53,54)/b9-8-,12-11-/t28-,32-,33-,34+,38-/m1/s1
InChIKey YECLLIMZHNYFCK-RRNJGNTNSA-N
Properties
Density 1.512g/cm3 (Cal.)
Market Analysis Reports
List of Reports Available for Coenzyme A S-(9Z,12Z)-9,12-Octadecadienoate
Related Products
1-(Chloromethyl)-4-Fluoro-2-Isocyanato-B...  (1R,4S)-4,7,7-Trimethyl-3-Oxo-2-Oxabicyc...  N-[2-Oxo-2-[4-(Phenylmethyl)-1-Piperazin...  2,3-Dihydro-5-Methyl-3-Oxo-4-Isoxazoleca...  1,3,4,6,7,9-Hexahydro-Benzo[1,2-C:3,4-C'...  5-Fluoro-4-Mercapto-2-Hydroxypyrimidine  Spiro[1,3-Dioxolane-2,3'-[3H]Indol]-2'(1...  1-Aziridinecarboxylicacid Ethyl Ester  N-[3-(Dimethylamino)-4-Methoxyphenyl]-Ac...  N-(2-Amino-4-Ethoxyphenyl)-Acetamide  3-(3-Mercapto-1-Oxopropoxy)-2-[(3-Mercap...  4-Amino-6-Chloro-Benzene-1,3-Disulfonyl ...  Clofenamide  Daniquidone  3-Phenanthridinamine