Online Database of Chemicals from Around the World

去甲吗啡-6-葡糖苷酸
[CAS# 65060-95-9]

供应商
CAS#: 65060-95-9
产品: 去甲吗啡-6-葡糖苷酸
暂时没有厂家供应该产品。
基本信息
产品名称 去甲吗啡-6-葡糖苷酸
英文名 Normorphine-6-Glucuronide
别名 Morphinan, Beta-D-Glucopyranosiduronic Acid Deriv.; Normorphine-6-Glucuronide
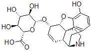
分子结构 CAS 登录号:65060-95-9, 去甲吗啡-6-葡糖苷酸
分子式 C22H25NO9
分子量 447.44
CAS 登录号 65060-95-9
分子行输入简码 SMILES [C@]124[C@@H]6[C@H](NCC1)CC3=C2C(=C(O)C=C3)O[C@H]4[C@@H](O[C@@H]5O[C@@H]([C@@H](O)[C@H](O)[C@H]5O)C(=O)O)C=C6
国际化学标识码 InChI 1S/C22H25NO9/c24-11-3-1-8-7-10-9-2-4-12(19-22(9,5-6-23-10)13(8)17(11)31-19)30-21-16(27)14(25)15(26)18(32-21)20(28)29/h1-4,9-10,12,14-16,18-19,21,23-27H,5-7H2,(H,28,29)/t9-,10+,12-,14-,15-,16+,18-,19-,21+,22-/m0/s1
国际化学标识检索码 InChIKey ILORZZTWORORRX-LHWQPMLGSA-N
市场分析报告
请浏览去甲吗啡-6-葡糖苷酸市场分析报告总目录
相关产品
1,3-二氧戊环-2,2-二乙酸二甲酯  1H,1H,2'H,3H-十氟二丙基醚  1,1,2-三氟乙基-2-氯乙基-2,2,3,3-...  1,1,2-三氟-2-氯乙基-2,2,3,3,4,...  1,1,2-三氟-2-氯乙基-2,2,3,3,4,...  乙氧基化羊毛脂乙酸酯  4-[[1-羟基-6-[[[(5-羟基-7-磺酸基...  4-[[1-羟基-6-[[[[5-羟基-6-[(2...  4,4'-[羰基二[亚氨基(1-羟基-3-磺酸基萘...  2-氨基苯并噻唑-6-磺酸锂  2-[4-(5-氨基-6-甲基-2-萘基)苯基]-...  2-(4-氨基苯基)-5-甲基苯并噻唑-7-磺酸钠  2-[[4-[[(2-氯苄基)]乙基氨基]-O-甲...  氢1-(3-磺酸基丙基)-2-[[3-(3-磺酸基...  N-[5-[二(2-羟基乙基)氨基]-2-(4-硝...