Online Database of Chemicals from Around the World

L-丙氨酰-L-丝氨酰-L-组氨酰-L-亮氨酰甘氨酰-L-亮氨酰-L-丙氨酰-L-精氨酸
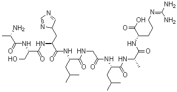
[CAS# 63555-63-5]

供应商
Alfa Chemistry 美国 询价快递  
+1 (201) 478-8534
inquiry@alfa-chemistry.com
化学品供销商(2012 年起)
chemBlink 标准供应商(2012 年起)
BOC Sciences 美国 询价快递  
+1 (631) 485-4226
info@bocsci.com
Skype 聊天
化学品供销商
chemBlink 集群供应商(2012 年起)
International Laboratory Limited 美国 询价快递  
+1 (650) 278-9963
admin@intlab.org
化学品生产商(2002 年起)
基本信息
产品名称 L-丙氨酰-L-丝氨酰-L-组氨酰-L-亮氨酰甘氨酰-L-亮氨酰-L-丙氨酰-L-精氨酸
英文名 L-Alanyl-L-Seryl-L-Histidyl-L-Leucylglycyl-L-Leucyl-L-Alanyl-L-Arginine
别名 (2S)-2-[[(2S)-2-[[(2S)-2-[[2-[[(2S)-2-[[(2S)-2-[[(2S)-2-[[(2S)-2-Aminopropanoyl]Amino]-3-Hydroxy-Propanoyl]Amino]-3-(4H-Imidazol-4-Yl)Propanoyl]Amino]-4-Methyl-Pentanoyl]Amino]Acetyl]Amino]-4-Methyl-Pentanoyl]Amino]Propanoyl]Amino]-5-Guanidino-Pentanoic Acid; (2S)-2-[[(2S)-2-[[(2S)-2-[[2-[[(2S)-2-[[(2S)-2-[[(2S)-2-[[(2S)-2-Amino-1-Oxopropyl]Amino]-3-Hydroxy-1-Oxopropyl]Amino]-3-(4H-Imidazol-4-Yl)-1-Oxopropyl]Amino]-4-Methyl-1-Oxopentyl]Amino]-1-Oxoethyl]Amino]-4-Methyl-1-Oxopentyl]Amino]-1-Oxopropyl]Amino]-5-Guanidinopentanoic Acid; (2S)-2-[[(2S)-2-[[(2S)-2-[[2-[[(2S)-2-[[(2S)-2-[[(2S)-2-(Alanylamino)-3-Hydroxy-Propanoyl]Amino]-3-(4H-Imidazol-4-Yl)Propanoyl]Amino]-4-Methyl-Pentanoyl]Amino]Acetyl]Amino]-4-Methyl-Pentanoyl]Amino]Propanoyl]Amino]-5-Guanidino-Valeric Acid
分子结构 CAS 登录号:63555-63-5, L-丙氨酰-L-丝氨酰-L-组氨酰-L-亮氨酰甘氨酰-L-亮氨酰-L-丙氨酰-L-精氨酸
分子式 C35H61N13O10
分子量 823.95
CAS 登录号 63555-63-5
分子行输入简码 SMILES [C@H](NC(=O)[C@@H](NC(=O)[C@@H](NC(=O)[C@@H](N)C)CO)CC1N=CN=C1)(CC(C)C)C(=O)NCC(=O)N[C@@H](CC(C)C)C(=O)N[C@H](C(=O)N[C@@H](CCCN=C(N)N)C(O)=O)C
国际化学标识码 InChI 1S/C35H61N13O10/c1-17(2)10-23(46-32(55)25(12-21-13-39-16-42-21)47-33(56)26(15-49)48-28(51)19(5)36)30(53)41-14-27(50)44-24(11-18(3)4)31(54)43-20(6)29(52)45-22(34(57)58)8-7-9-40-35(37)38/h13,16-26,49H,7-12,14-15,36H2,1-6H3,(H,41,53)(H,43,54)(H,44,50)(H,45,52)(H,46,55)(H,47,56)(H,48,51)(H,57,58)(H4,37,38,40)/t19-,20-,21?,22-,23-,24-,25-,26-/m0/s1
国际化学标识检索码 InChIKey PZGDJPJCVBFTSD-FZNMGIFLSA-N
物理化学性质
密度 1.445g/cm3 (计算值)
市场分析报告
请浏览L-丙氨酰-L-丝氨酰-L-组氨酰-L-亮氨酰甘氨酰-L-亮氨酰-L-丙氨酰-L-精氨酸市场分析报告总目录
相关产品
7-亚氨基吩噻嗪-3-胺盐酸盐  8-氨基-5-(4-羟基苯基氨基)萘-2-磺酸  8-乙酰氨基-1-萘酚-5-磺酸  8-(4-甲基苯胺基)-1-萘酚-5-磺酸  试卤灵  2-甲基-喹啉-3-羧酸  4,7-二羟基萘-2-磺酸  4-氨基-3-磺基-1,8-萘二甲酸酐  4-氯-2-(2,4-二硝基苯基氨基)苯酚  5-(二乙基氨基)-2-亚硝基苯酚  4-[[4-(二甲基氨基)苯基]氨基]苯酚  2-(2,4-二硝基苯胺基)苯酚  4-[(9-乙基-9H-咔唑-3-基)氨基]苯酚  4,4'-亚胺甲酰基二[N,N-二乙基苯胺]单盐酸...  酸性红 265