Identification
| Name |
Beauverolides |
| Synonyms |
13-Hexyl-3-Isobutyl-6-Methyl-9-(Phenylmethyl)-1-Oxa-4,7,10-Triazacyclotridecane-2,5,8,11-Tetrone; 9-(Benzyl)-13-Hexyl-3-Isobutyl-6-Methyl-1-Oxa-4,7,10-Triazacyclotridecane-2,5,8,11-Diquinone; Beauverolide H |
|
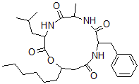
| Molecular Structure |
 |
| Molecular Formula |
C27H41N3O5 |
| Molecular Weight |
487.64 |
| CAS Registry Number |
62995-90-8 |
| SMILES |
C1=CC=CC=C1CC2NC(CC(OC(C(NC(C(NC2=O)C)=O)CC(C)C)=O)CCCCCC)=O |
| InChI |
1S/C27H41N3O5/c1-5-6-7-11-14-21-17-24(31)29-22(16-20-12-9-8-10-13-20)26(33)28-19(4)25(32)30-23(15-18(2)3)27(34)35-21/h8-10,12-13,18-19,21-23H,5-7,11,14-17H2,1-4H3,(H,28,33)(H,29,31)(H,30,32) |
| InChIKey |
YUJXCNCSPRKCFX-UHFFFAOYSA-N |
|