Online Database of Chemicals from Around the World

卷曲霉素 IIA
[CAS# 62639-89-8]

供应商
CAS#: 62639-89-8
产品: 卷曲霉素 IIA
暂时没有厂家供应该产品。
基本信息
产品名称 卷曲霉素 IIA
英文名 Capreomycin IIA
别名 [(Z)-[(3S,9S,12S,15S)-15-Amino-9-(Aminomethyl)-3-[(4R)-2-Amino-3,4,5,6-Tetrahydropyrimidin-4-Yl]-2,5,8,11,14-Pentaketo-12-Methylol-1,4,7,10,13-Pentazacyclohexadec-6-Ylidene]Methyl]Urea; Brn 0875651; Capreomycin Ia, 1-De-(L-3,6-Diaminohexanoic Acid)-
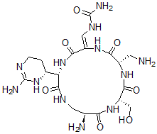
分子结构 CAS 登录号:62639-89-8, 卷曲霉素 IIA
分子式 C19H32N12O7
分子量 540.54
CAS 登录号 62639-89-8
分子行输入简码 SMILES [C@H]1(NC(=NCC1)N)[C@@H]2NC(=O)\C(NC(=O)[C@@H](NC(=O)[C@@H](NC(=O)[C@@H](N)CNC2=O)CO)CN)=C\NC(=O)N
国际化学标识码 InChI 1S/C19H32N12O7/c20-3-9-14(34)28-10(5-26-19(23)38)15(35)31-12(8-1-2-24-18(22)30-8)17(37)25-4-7(21)13(33)29-11(6-32)16(36)27-9/h5,7-9,11-12,32H,1-4,6,20-21H2,(H,25,37)(H,27,36)(H,28,34)(H,29,33)(H,31,35)(H3,22,24,30)(H3,23,26,38)/b10-5-/t7-,8+,9-,11-,12-/m0/s1
国际化学标识检索码 InChIKey XFGCTBYTRMLWCB-MRSVHRRQSA-N
物理化学性质
密度 1.886g/cm3 (计算值)
市场分析报告
请浏览卷曲霉素 IIA市场分析报告总目录
相关产品
卷曲霉素 IIB  (2-乙氧基-1-丙烯基)三苯基鏻碘化物  筋骨草素二萜 I  4-[2-[(1R)-8aalpha-乙酰氧基甲基...  4-[2-[(1S,8abeta)-4alpha-...  3-(N-苯二甲酰亚氨基)丙基三氯硅烷  1-丁基-1-苯基-脲  四氢-1-亚硝基-2(1H)-嘧啶酮  1-亚硝基-5,6-二氢胸腺嘧啶  2-羟基乙基亚硝基氨基甲酸乙酯  4,4'-亚甲基二[N-呋喃亚甲基苯胺]  2-氨基-4,6-二巯基嘧啶  1-氨基-4-[(1-甲基乙基)氨基]蒽醌  (E)-3-(4-甲氧基苯基)-N-甲基-丙-2-...  四氢-alpha-[2-(四氢呋喃-2-基)乙基]...